Fig. 2.

Download original image
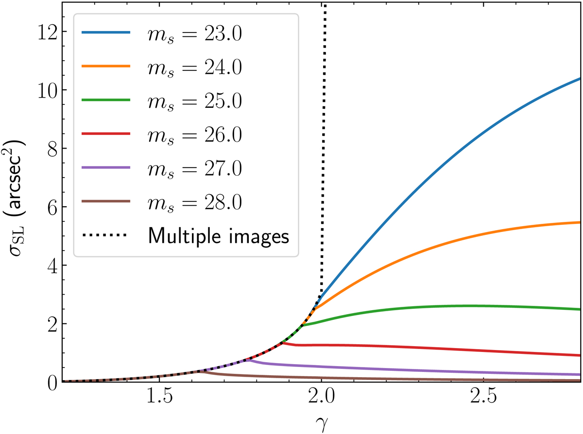
Strong lensing cross-section, defined according to Eq. (4), as a function of density slope for a power-law lens with Einstein radius θEin = 1″. Coloured lines correspond to different source magnitudes according to the legend. The dotted line indicates the area in the source plane that is lensed into multiple images (infinite for γ > 2).
Current usage metrics show cumulative count of Article Views (full-text article views including HTML views, PDF and ePub downloads, according to the available data) and Abstracts Views on Vision4Press platform.
Data correspond to usage on the plateform after 2015. The current usage metrics is available 48-96 hours after online publication and is updated daily on week days.
Initial download of the metrics may take a while.