Free Access
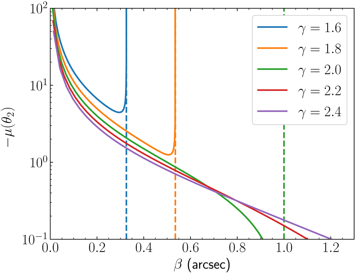
Fig. 3.

Download original image
Negative magnification of image 2 as a function of source position for power-law lenses with θEin = 1″. Coloured lines correspond to different values of the density slope γ according to the legend. The dashed lines indicate the radial caustic position for the lenses of the corresponding colour.
Current usage metrics show cumulative count of Article Views (full-text article views including HTML views, PDF and ePub downloads, according to the available data) and Abstracts Views on Vision4Press platform.
Data correspond to usage on the plateform after 2015. The current usage metrics is available 48-96 hours after online publication and is updated daily on week days.
Initial download of the metrics may take a while.