Free Access
Fig. B.1

Download original image
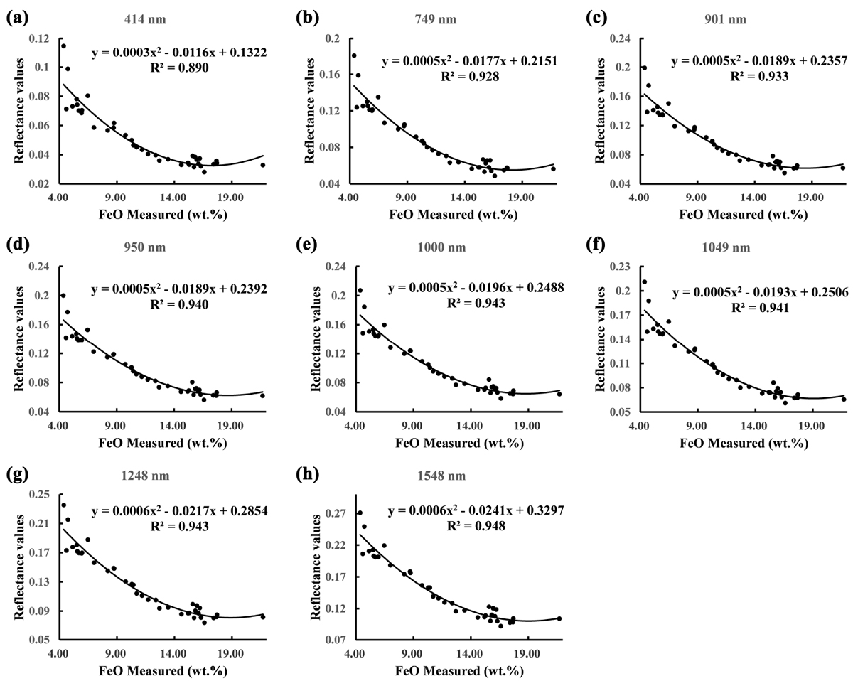
Nonlinear relations between FeO contents and the reflectance values of Kaguya Multiband Imager (a) 414 nm, (b) 749 nm, (c) 901 nm, (d) 950 nm, (e) 1000 nm, (f) 1049 nm, (g) 1248 nm, and (h) 1548 nm.
Current usage metrics show cumulative count of Article Views (full-text article views including HTML views, PDF and ePub downloads, according to the available data) and Abstracts Views on Vision4Press platform.
Data correspond to usage on the plateform after 2015. The current usage metrics is available 48-96 hours after online publication and is updated daily on week days.
Initial download of the metrics may take a while.