Free Access
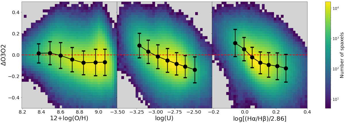
Fig. 14

Download original image
O3O2data −O3O2model as a function of the gas-phase metallicity (left panel), ionization parameter (middle panel), and Balmer decrement (right panel). The median trend in each panel is shown as the black line, with the standard deviations indicated by the error bars.
Current usage metrics show cumulative count of Article Views (full-text article views including HTML views, PDF and ePub downloads, according to the available data) and Abstracts Views on Vision4Press platform.
Data correspond to usage on the plateform after 2015. The current usage metrics is available 48-96 hours after online publication and is updated daily on week days.
Initial download of the metrics may take a while.