Fig. 8

Download original image
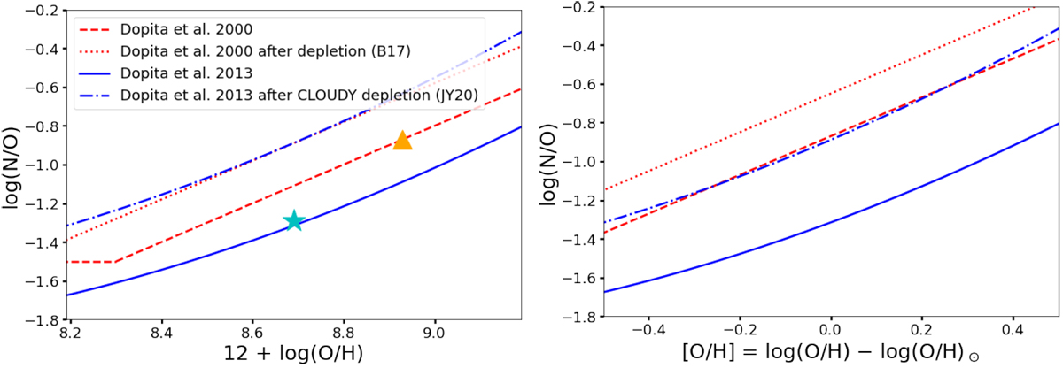
Comparisons of pre- and post-depletion nitrogen prescriptions for the BY17 and the JY20 models. Both the input prescription and the output prescription modified by dust depletion are shown. The JY20 model adopts thesame pre-depletion nitrogen prescription as Dopita et al. (2013) and depletes the elements using the CLOUDY default depletion set. The B17 model follows Dopita et al. (2000) for both the pre-depletion nitrogen prescription and the depletion pattern. While the left panel shows the N/O ratios as functions of the absolute oxygen abundance 12 + log(O/H), the right panel shows the N/O ratios as functions of the relative oxygen abundance [O/H], normalized by the solar O/H adopted by each model. The solar oxygen abundances, 12 + log(O/H)⊙, adopted by Dopita et al. (2000) and Dopita et al. (2013) are 8.93 and 8.69 and indicated by the orange triangle and the cyan star in the plot, respectively.
Current usage metrics show cumulative count of Article Views (full-text article views including HTML views, PDF and ePub downloads, according to the available data) and Abstracts Views on Vision4Press platform.
Data correspond to usage on the plateform after 2015. The current usage metrics is available 48-96 hours after online publication and is updated daily on week days.
Initial download of the metrics may take a while.