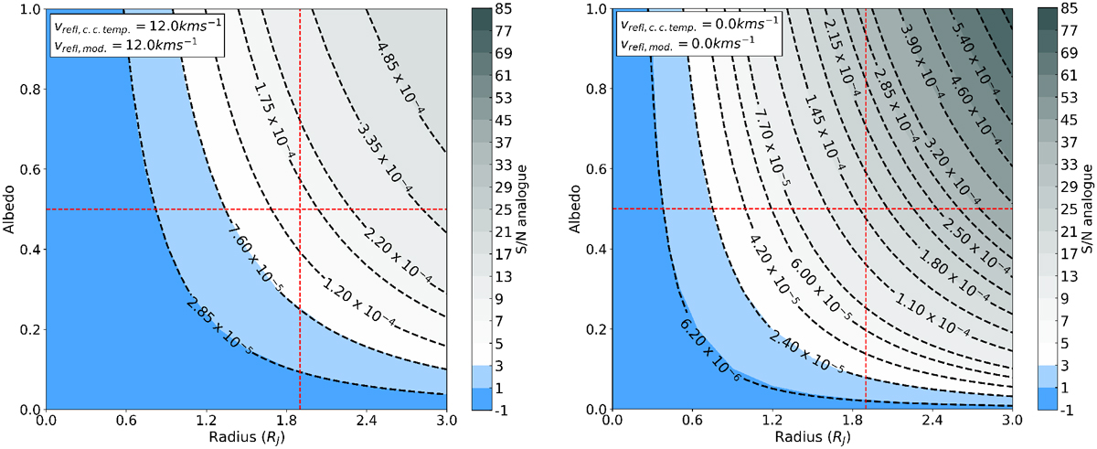
Fig. 16

Download original image
S/N recovered by our pipeline for a suite of injected reflected light models at Kp = 133 km s−1 and Δv= 0 km s−1, as a functionof geometric albedo (Ag) and planet radius (Rp), for models with (left) and without (right) rotational broadening. The white and grey contours are above the threshold for detection, while blue regions cover statistically viable scenarios for 51 Pegasi b, given the upper limits on the Fp ∕F⋆ contrast that we derive in Sect. 5.4. The black dashed contours mark out the Fp ∕F⋆ contrast values. The red dashed lines mark the Ag = 0.5 and Rp= 1.9RJ parameters proposed by M15 for 51 Pegasi b. The blue to grey colour scale is not evenly spaced, but increases in increments of 2 up to S∕N ≤ 10, in increments of 4 when 10 < S∕N ≤ 40 and in increments of 8 when S∕N > 40. The colour bars begin at −1 because the S/N value where no model is injected is less than zero for the cases with and without broadening. The colour scale is the same for both plots.
Current usage metrics show cumulative count of Article Views (full-text article views including HTML views, PDF and ePub downloads, according to the available data) and Abstracts Views on Vision4Press platform.
Data correspond to usage on the plateform after 2015. The current usage metrics is available 48-96 hours after online publication and is updated daily on week days.
Initial download of the metrics may take a while.