Free Access
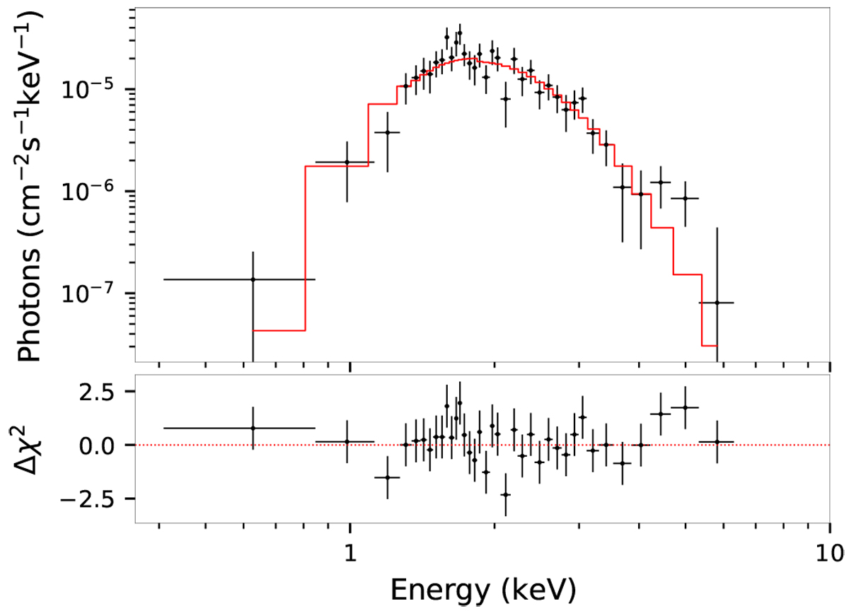
Fig. 2

Download original image
Unfolded spectrum (black) and best-fit black body model (red) of the extendedhalo emission extracted from an annulus with inner and outer radii of 10′′ and 30′′, as describedin the text and residuals to the best fit (lower panel).
Current usage metrics show cumulative count of Article Views (full-text article views including HTML views, PDF and ePub downloads, according to the available data) and Abstracts Views on Vision4Press platform.
Data correspond to usage on the plateform after 2015. The current usage metrics is available 48-96 hours after online publication and is updated daily on week days.
Initial download of the metrics may take a while.