Fig. 17

Download original image
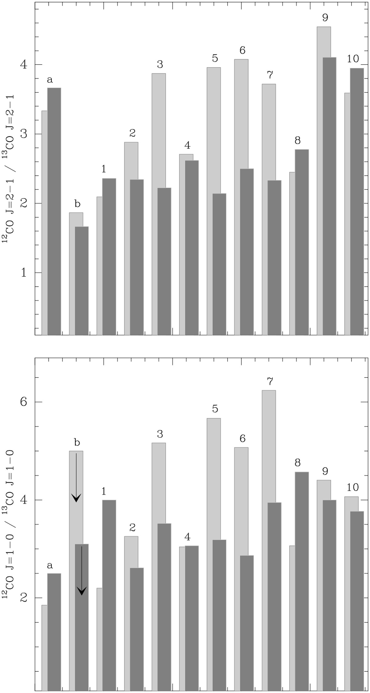
Ratios of integrated intensities of 12CO /13CO in binary post-AGB stars in light grey. We also show line-peak ratios in dark grey (J = 2−1 at top; J = 1−0 at Bottom). Sources are ordered by outflow dominance and enumerated as follows: a – HR 4049, b – DY Ori, 1 – AC Her, 2 – Red Rectangle, 3 – 89 Her, 4 – HD 52961, 5 – IRAS 19157-0257, 6 – IRAS 18123+0511, 7 – IRAS 19125+0343, 8 – AI CMi, 9 – IRAS 20056+1834, and 10 – RSct. Sources a and b are not included in this mm-wave survey. Sources 1, 2, a, and b are disk-dominated binary post-AGB stars, sources 6 to 10 are outflow-dominated, and sources 3, 4, and 5 are intermediate cases.
Current usage metrics show cumulative count of Article Views (full-text article views including HTML views, PDF and ePub downloads, according to the available data) and Abstracts Views on Vision4Press platform.
Data correspond to usage on the plateform after 2015. The current usage metrics is available 48-96 hours after online publication and is updated daily on week days.
Initial download of the metrics may take a while.