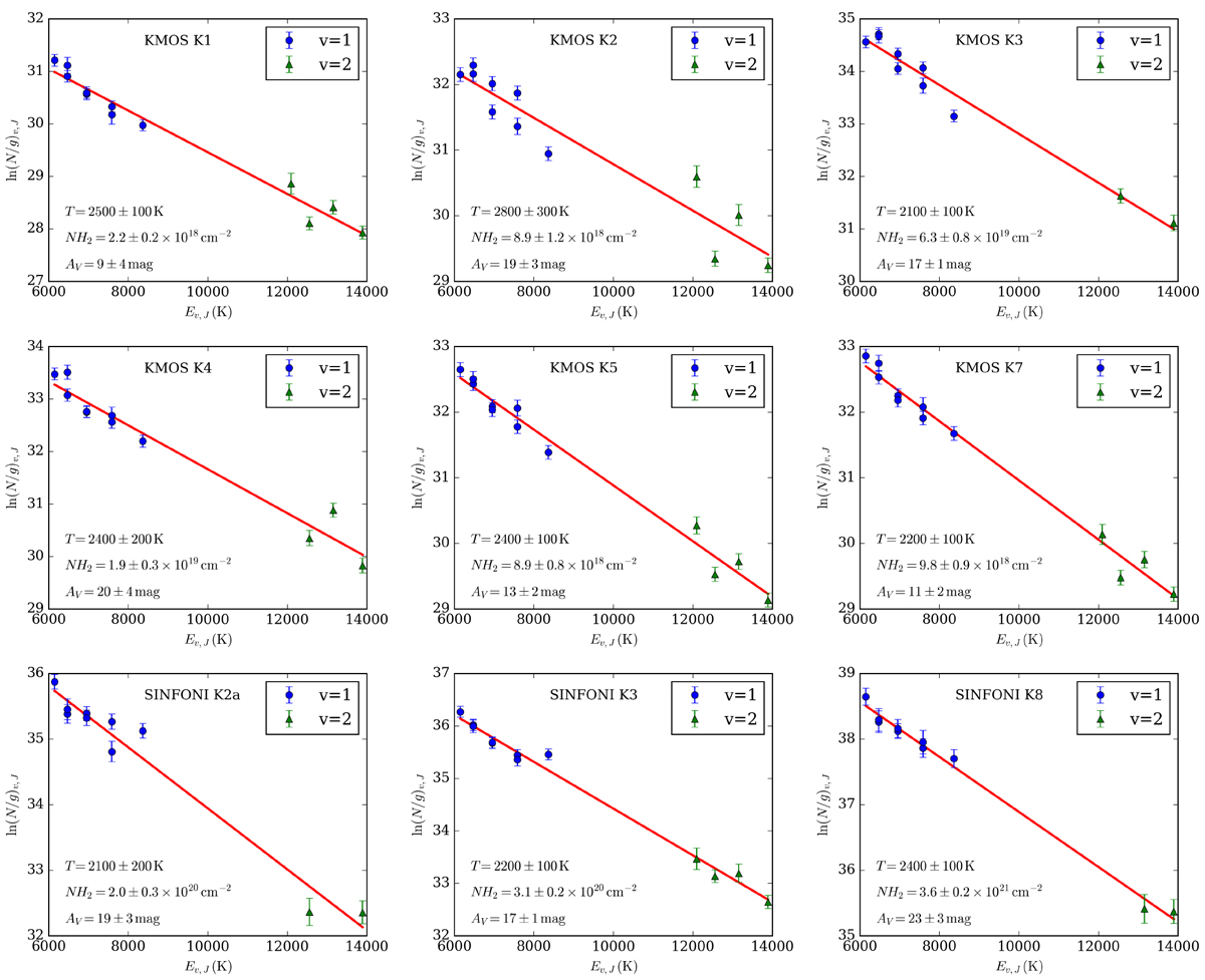
Fig. D.1

Download original image
Ro-vibrations diagrams for all the H2 knots outlined in the SINFONI and KMOS data sets. Labels identifying the knot and data set are at the top of each diagram. The KMOS knot K6 does not have a ro-vibrational plot as we could not derive a visual extinction value for it, and thus could not fitthe plot to derive further physical parameters.
Current usage metrics show cumulative count of Article Views (full-text article views including HTML views, PDF and ePub downloads, according to the available data) and Abstracts Views on Vision4Press platform.
Data correspond to usage on the plateform after 2015. The current usage metrics is available 48-96 hours after online publication and is updated daily on week days.
Initial download of the metrics may take a while.