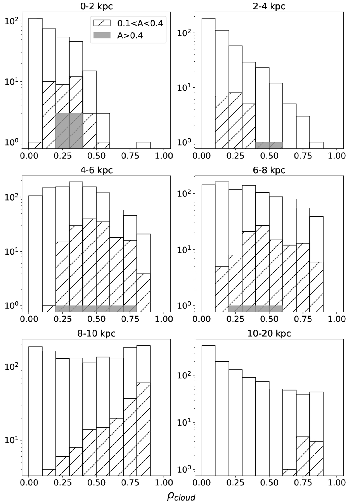
Fig. 3

Download original image
Distribution of the ratio of the cloud’s column density to the total column density in the direction of the cloud for different intervals of distances from the Galactic center (white solid bars). Only the clouds not overlapping with Fermi-LAT γ-ray sources are shown. The fraction of clouds characterized by the parameter A > 0.4 (solid gray) and 0.1 < A < 0.4 (hatched) are highlighted.
Current usage metrics show cumulative count of Article Views (full-text article views including HTML views, PDF and ePub downloads, according to the available data) and Abstracts Views on Vision4Press platform.
Data correspond to usage on the plateform after 2015. The current usage metrics is available 48-96 hours after online publication and is updated daily on week days.
Initial download of the metrics may take a while.