Fig. 3.

Download original image
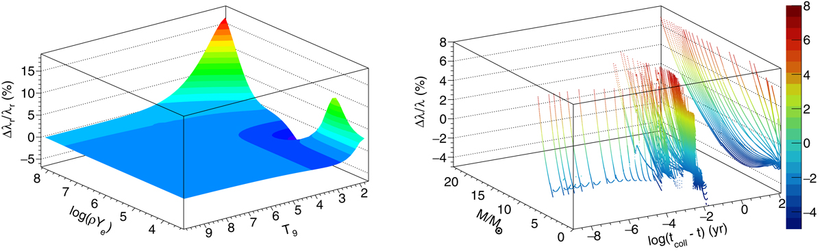
Left: relative error in relativistic Debye length using the approximation of Eq. (8). Right: relative error in relativistic Debye length for individual zones in the MESA evolution for a 70 M⊙ He progenitor as a function of time prior to collapse. Each dot in the figure is a mass element at a specific time step. Only times at which T > 150 keV and mass elements for which weak or intermediate relativistic screening is appropriate are shown.
Current usage metrics show cumulative count of Article Views (full-text article views including HTML views, PDF and ePub downloads, according to the available data) and Abstracts Views on Vision4Press platform.
Data correspond to usage on the plateform after 2015. The current usage metrics is available 48-96 hours after online publication and is updated daily on week days.
Initial download of the metrics may take a while.