Fig. 4.

Download original image
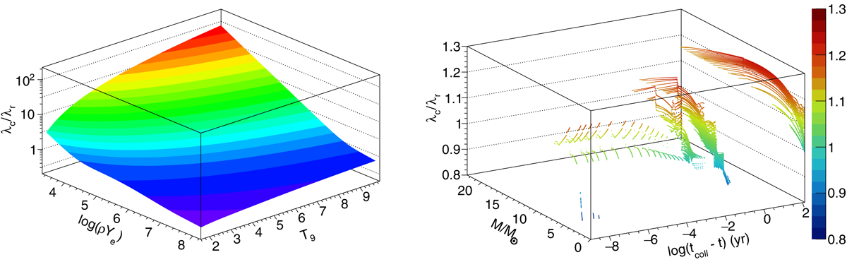
Left: ratio of classical to relativistic electron screening lengths for the weak and intermediate screening as a function of temperature and electron density. Right: ratio of classical to electron screening lengths for a 70 M⊙ model evolution. The time is shown as time before final collapse. Each dot is a mass element and a time step. In the figure, values less than unity are blue, while those greater than unity are green.
Current usage metrics show cumulative count of Article Views (full-text article views including HTML views, PDF and ePub downloads, according to the available data) and Abstracts Views on Vision4Press platform.
Data correspond to usage on the plateform after 2015. The current usage metrics is available 48-96 hours after online publication and is updated daily on week days.
Initial download of the metrics may take a while.