Free Access
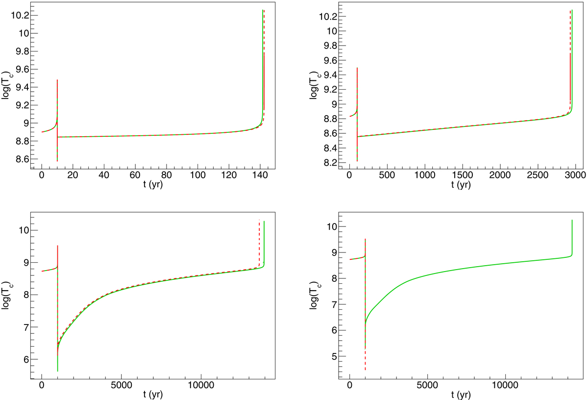
Fig. 5.

Download original image
Logarithm of central temperature, log Tc versus time for various progenitor models. The solid green lines correspond to the default screening model, and the dashed red lines correspond to the relativistic screening model. Top left: 70 M⊙, (top right) 76 M⊙, (bottom left) 89 M⊙, and (bottom right) 89.02 M⊙
Current usage metrics show cumulative count of Article Views (full-text article views including HTML views, PDF and ePub downloads, according to the available data) and Abstracts Views on Vision4Press platform.
Data correspond to usage on the plateform after 2015. The current usage metrics is available 48-96 hours after online publication and is updated daily on week days.
Initial download of the metrics may take a while.