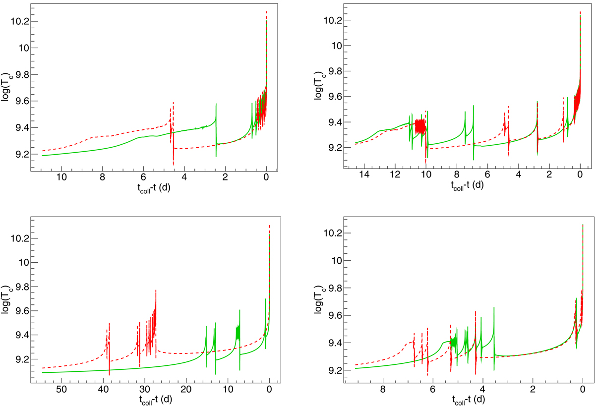
Fig. 7.

Download original image
Detail of central temperature for three progenitor models for both default (solid green lines) and relativistic (dashed red lines) screening rates. Top left: 52 M⊙, top right: 58 M⊙, bottom left: 64 M⊙, and bottom right: 70 M⊙. The relativistic screening case has been offset by 6.82 yr for the 52 M⊙ model and by −2.79 × 104 s for the 70 M⊙ model so that both evolution plots can fall within the same range.
Current usage metrics show cumulative count of Article Views (full-text article views including HTML views, PDF and ePub downloads, according to the available data) and Abstracts Views on Vision4Press platform.
Data correspond to usage on the plateform after 2015. The current usage metrics is available 48-96 hours after online publication and is updated daily on week days.
Initial download of the metrics may take a while.