Free Access
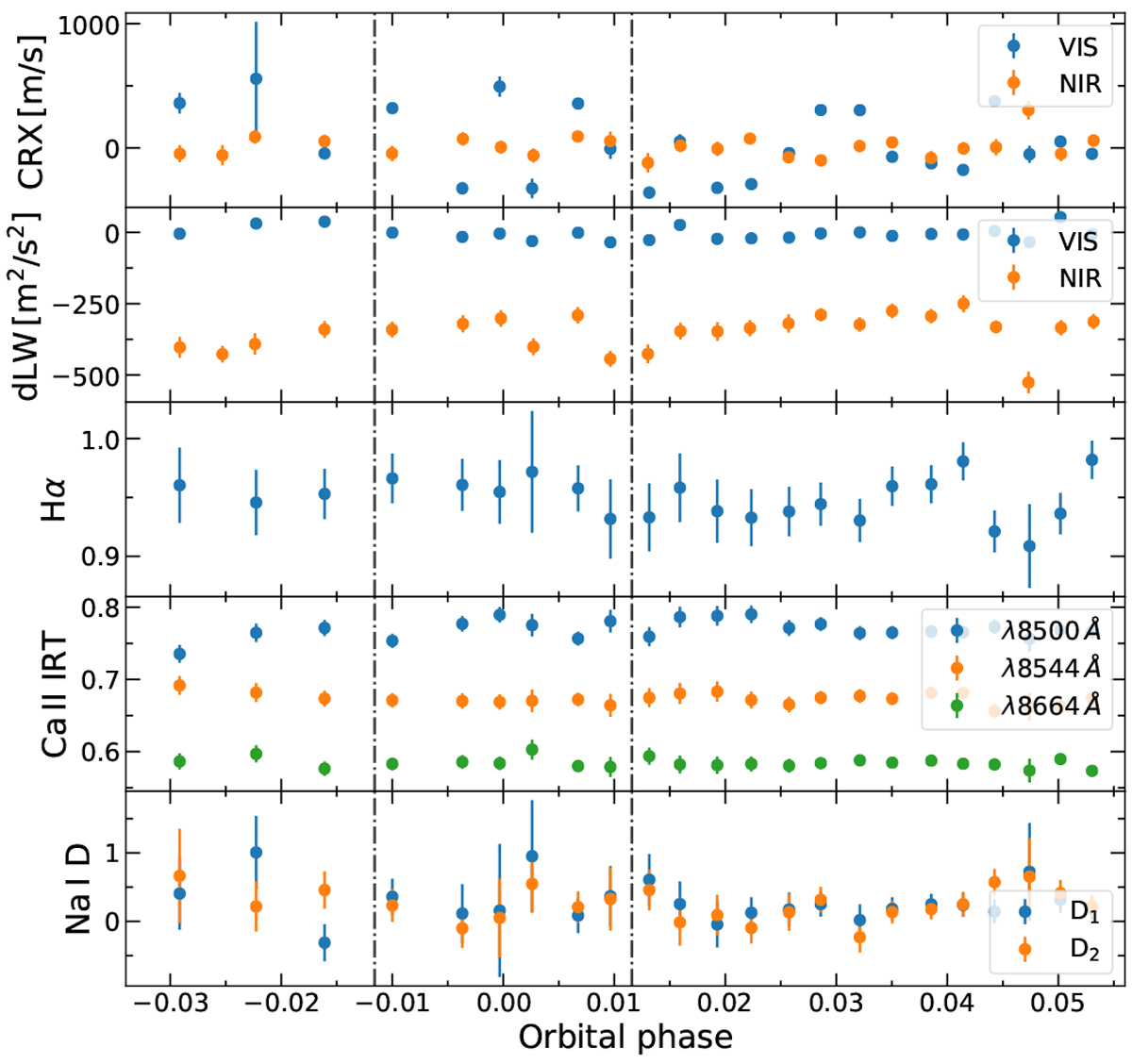
Fig. A.3

Download original image
Activity indices derived using serval. From top to bottom: chromatic radial velocity index (CRX), diferential line width (dLW), Hα line index; Ca II IRT line indices, and Na I D1 and D2 line indices. The vertical dashed lines mark the T1 and T4 contacts of transit of GJ 1214 b.
Current usage metrics show cumulative count of Article Views (full-text article views including HTML views, PDF and ePub downloads, according to the available data) and Abstracts Views on Vision4Press platform.
Data correspond to usage on the plateform after 2015. The current usage metrics is available 48-96 hours after online publication and is updated daily on week days.
Initial download of the metrics may take a while.