Free Access
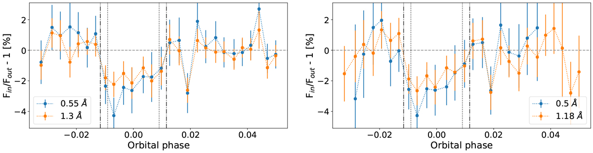
Fig. 3

Download original image
Transit light curves of the He I triplet absorption for the corrected (left) and masked (right) procedures. The light curves have been constructed integrating the counts around λ0 using σ (blue) and FWHM (orange) wavelength band passes from Table 2. The vertical lines represent the different contacts during the transit.
Current usage metrics show cumulative count of Article Views (full-text article views including HTML views, PDF and ePub downloads, according to the available data) and Abstracts Views on Vision4Press platform.
Data correspond to usage on the plateform after 2015. The current usage metrics is available 48-96 hours after online publication and is updated daily on week days.
Initial download of the metrics may take a while.