Fig. 21.

Download original image
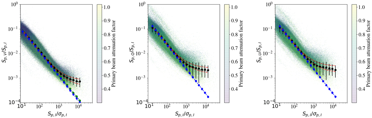
Observed Stokes V (left), Q (centre) and U (right) to Stokes I maximum absolute image pixel ratios as a function of the Stokes I signal-to-noise ratio. The small points show measurements obtained from all compact, isolated LoTSS-DR2 sources with SI> 10 mJy. The large black points show the median values in Sp, I/σp, I bins and the error bars show the standard deviation of the sources within each bin. The dashed black fitted line shows the best fit through the points which are: Sp, V/Sp, I = 1.16 × σp, I/Sp, I + 5.7 × 10−4; Sp, Q/Sp, I = 2.12 × σp, I/Sp, I + 1.7 × 10−3; and Sp, U/Sp, I = 2.1 × σp, I/Sp, I + 1.9 × 10−3. The red dashed lines above and below the best fit line show the best fits derived when considering sources with a primary beam attenuation factor below 0.65 and above 0.65 respectively. The large blue dashed line fitted with blue dots shows the situation if the Stokes V, Q or U signals are Gaussian random noise (with pixels chosen from a region size to align the observed and simulated distributions at low Sp, I/σp, I). In the Stokes V panel, the green dashed line fitted with green dots represents when the aperture is offset from the target and, as expected, this follows the Gaussian random noise simulation and demonstrates its validity. The real observations begin to differ significantly from the leakage-free simulations at around Sp, I/σp, I = 1000 – above this Sp, I/σp, I we have over 23 000 measurements in Q and U and 30 000 in V (where our maps are slightly wider in area) that constrain our leakage estimates at high Sp, I/σp, I.
Current usage metrics show cumulative count of Article Views (full-text article views including HTML views, PDF and ePub downloads, according to the available data) and Abstracts Views on Vision4Press platform.
Data correspond to usage on the plateform after 2015. The current usage metrics is available 48-96 hours after online publication and is updated daily on week days.
Initial download of the metrics may take a while.