Fig. 4.

Download original image
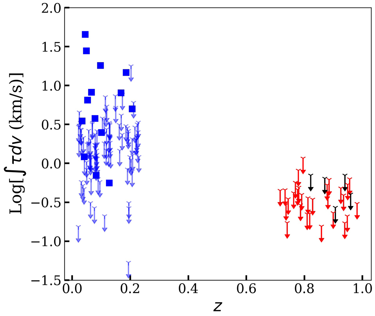
Comparison of the velocity-integrated H I 21 cm optical depth between the extended radio sources of the Maccagni et al. (2017) sample (blue squares for detections and arrows for non-detections) at z < 0.25 and all the sources of our sample (red arrows). We have also included the extended radio sources from the study of Aditya (2019) (black arrows) at 0.7 < z < 1.0, which are combined with our sample for the analysis (see Sect. 3.3 for more details). The velocity-integrated H I 21 cm optical depth has been estimated for both samples uniformly.
Current usage metrics show cumulative count of Article Views (full-text article views including HTML views, PDF and ePub downloads, according to the available data) and Abstracts Views on Vision4Press platform.
Data correspond to usage on the plateform after 2015. The current usage metrics is available 48-96 hours after online publication and is updated daily on week days.
Initial download of the metrics may take a while.