Fig. 1.

Download original image
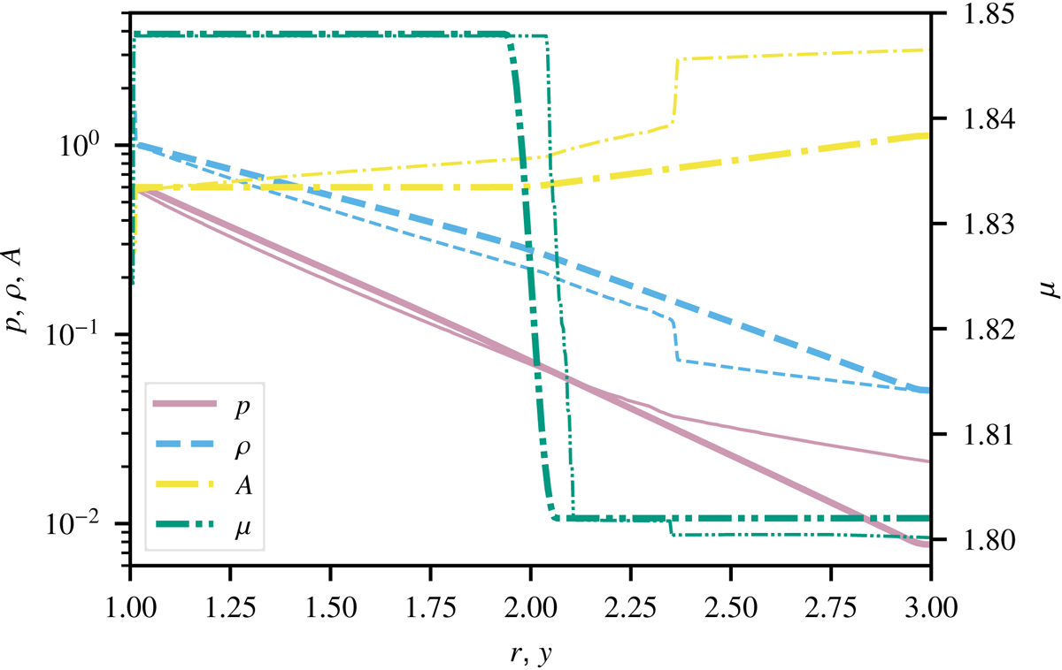
Initial stratification in the problem units (Table 1) of the pressure p, density ρ, pseudo-entropy A = p/ργ, and mean molecular weight μ in the stellar model (thin lines) and in the test problem (thick lines). The discontinuity visible in the stellar model at r ≈ 2.35 is the bottom of the carbon-burning shell, which is not included in our test problem.
Current usage metrics show cumulative count of Article Views (full-text article views including HTML views, PDF and ePub downloads, according to the available data) and Abstracts Views on Vision4Press platform.
Data correspond to usage on the plateform after 2015. The current usage metrics is available 48-96 hours after online publication and is updated daily on week days.
Initial download of the metrics may take a while.