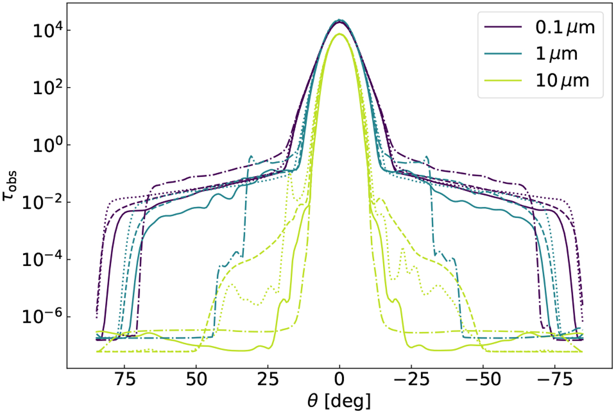
Fig. 12

Download original image
H-band radial optical depth τobs originating from the central star depending on the inclination expressed in latitude for three dust species with sizes 0.1 μm, 1 μm and 10 μm indicated by the color scheme. The continuous lines refer to the photoevaporation simulation phc2, the dashed lines to the magnetic wind b5c2 with β = 105 and the dotted lines to the run b4c2 with β = 104.
Current usage metrics show cumulative count of Article Views (full-text article views including HTML views, PDF and ePub downloads, according to the available data) and Abstracts Views on Vision4Press platform.
Data correspond to usage on the plateform after 2015. The current usage metrics is available 48-96 hours after online publication and is updated daily on week days.
Initial download of the metrics may take a while.