Free Access
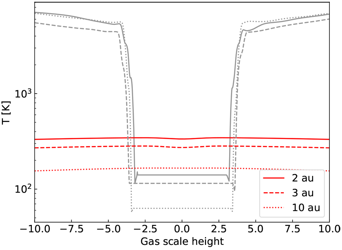
Fig. A.1

Download original image
Vertical slices of gas and dust temperatures at different radial location in the disk and wind region of the photoevaporation simulation phc2. The gray lines represent the gas temperatures whereas the red lines display the equilibrium dust temperatures of the 0.1 μm grains.
Current usage metrics show cumulative count of Article Views (full-text article views including HTML views, PDF and ePub downloads, according to the available data) and Abstracts Views on Vision4Press platform.
Data correspond to usage on the plateform after 2015. The current usage metrics is available 48-96 hours after online publication and is updated daily on week days.
Initial download of the metrics may take a while.