Free Access
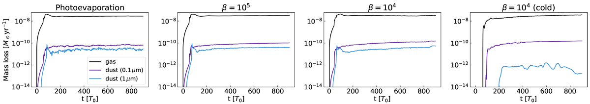
Fig. 2

Download original image
Total wind mass loss rates of gas and dust for the simulation runs phc2, b5c2, b4c2 and b4c2np. Results from 10 μm grains are excluded due to the negligible outflow and the lack of entrainment in the wind for all runs shown above.
Current usage metrics show cumulative count of Article Views (full-text article views including HTML views, PDF and ePub downloads, according to the available data) and Abstracts Views on Vision4Press platform.
Data correspond to usage on the plateform after 2015. The current usage metrics is available 48-96 hours after online publication and is updated daily on week days.
Initial download of the metrics may take a while.