Fig. 2.

Download original image
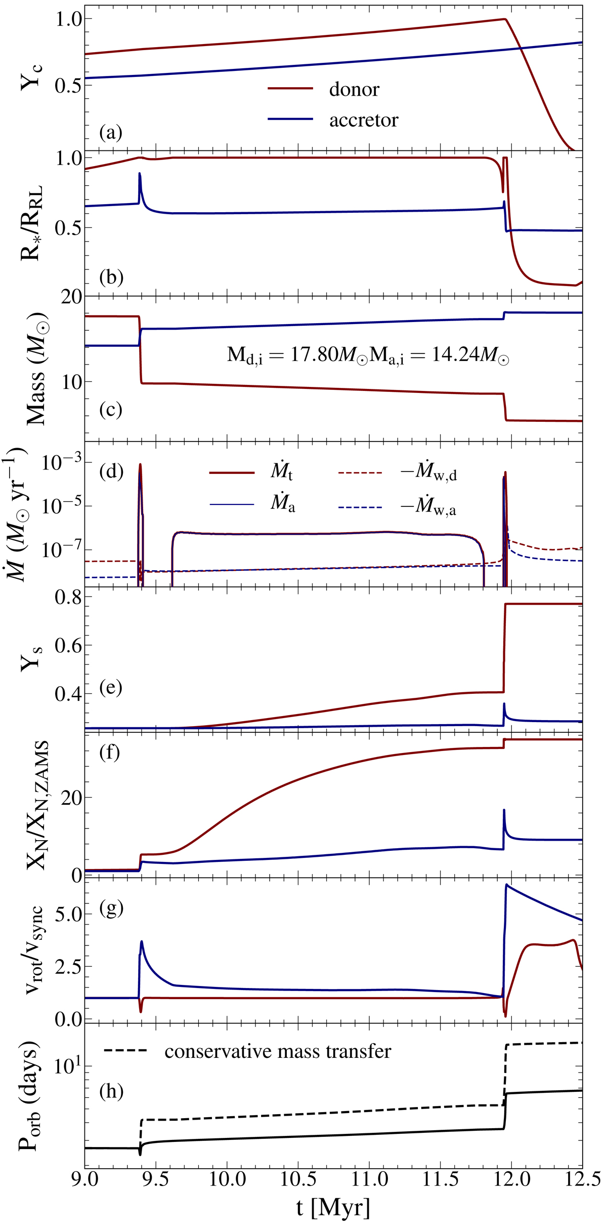
Example of a Case A and Case AB mass transfer episode for a typical binary model in our grid. The initial donor mass, mass ratio and orbital period of the model are 17.8 M⊙, 0.8 and ∼2.7 d respectively. Various quantities are plotted as function of time, with t = 0 corresponding to the ZAMS stage of both stars. (a) central helium mass fraction of donor (red) and accretor (blue). (b) ratio of donor and accretor radius to their Roche lobe radii. (c) donor and accretor mass. (d) mass transfer rate Ṁt (red solid line), effective mass accretion rate Ṁa (blue solid line), and wind mass loss rates of donor (−Ṁw,d, red dotted line) and accretor (−Ṁw,a, blue dotted line), respectively. (e) surface helium mass fraction. (f) surface nitrogen enhancement factor. (g) ratio of rotational to orbital angular velocity. (h) orbital period (solid black line), and the orbital period our model would have obtained if the mass transfer would have been fully conservative (dashed black line).
Current usage metrics show cumulative count of Article Views (full-text article views including HTML views, PDF and ePub downloads, according to the available data) and Abstracts Views on Vision4Press platform.
Data correspond to usage on the plateform after 2015. The current usage metrics is available 48-96 hours after online publication and is updated daily on week days.
Initial download of the metrics may take a while.