Fig. 15

Download original image
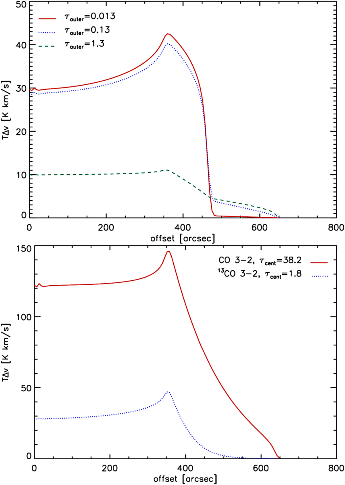
Modeled intensities from the radiative transfer in a spherically symmetric bubble. Top panel: modeled [C II] intensity for simple shell geometries (Fig. 14) for various optical depths of surrounding cold material. Bottom panel: modeled 12CO and 13CO (3 →2) intensities for a slightly more realistic configuration with a continuous density and temperature gradient. The modeled intensities are determined by solving the radiative transfer equations with SimLine (Ossenkopf et al. 2001).
Current usage metrics show cumulative count of Article Views (full-text article views including HTML views, PDF and ePub downloads, according to the available data) and Abstracts Views on Vision4Press platform.
Data correspond to usage on the plateform after 2015. The current usage metrics is available 48-96 hours after online publication and is updated daily on week days.
Initial download of the metrics may take a while.