Free Access
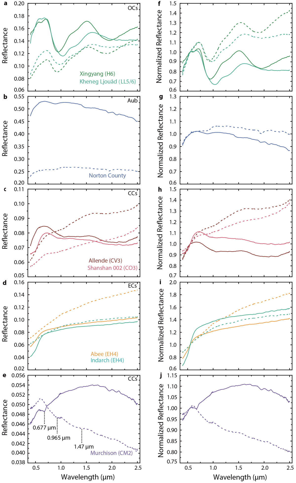
Fig. 1

Download original image
Reflectance spectra without (a–e) and with (f–j) normalization at 0.55 μm of virgin and irradiated meteorites. All solid lines are virgin spectra and dashed lines are irradiated spectra.
Current usage metrics show cumulative count of Article Views (full-text article views including HTML views, PDF and ePub downloads, according to the available data) and Abstracts Views on Vision4Press platform.
Data correspond to usage on the plateform after 2015. The current usage metrics is available 48-96 hours after online publication and is updated daily on week days.
Initial download of the metrics may take a while.