Fig. 4.

Download original image
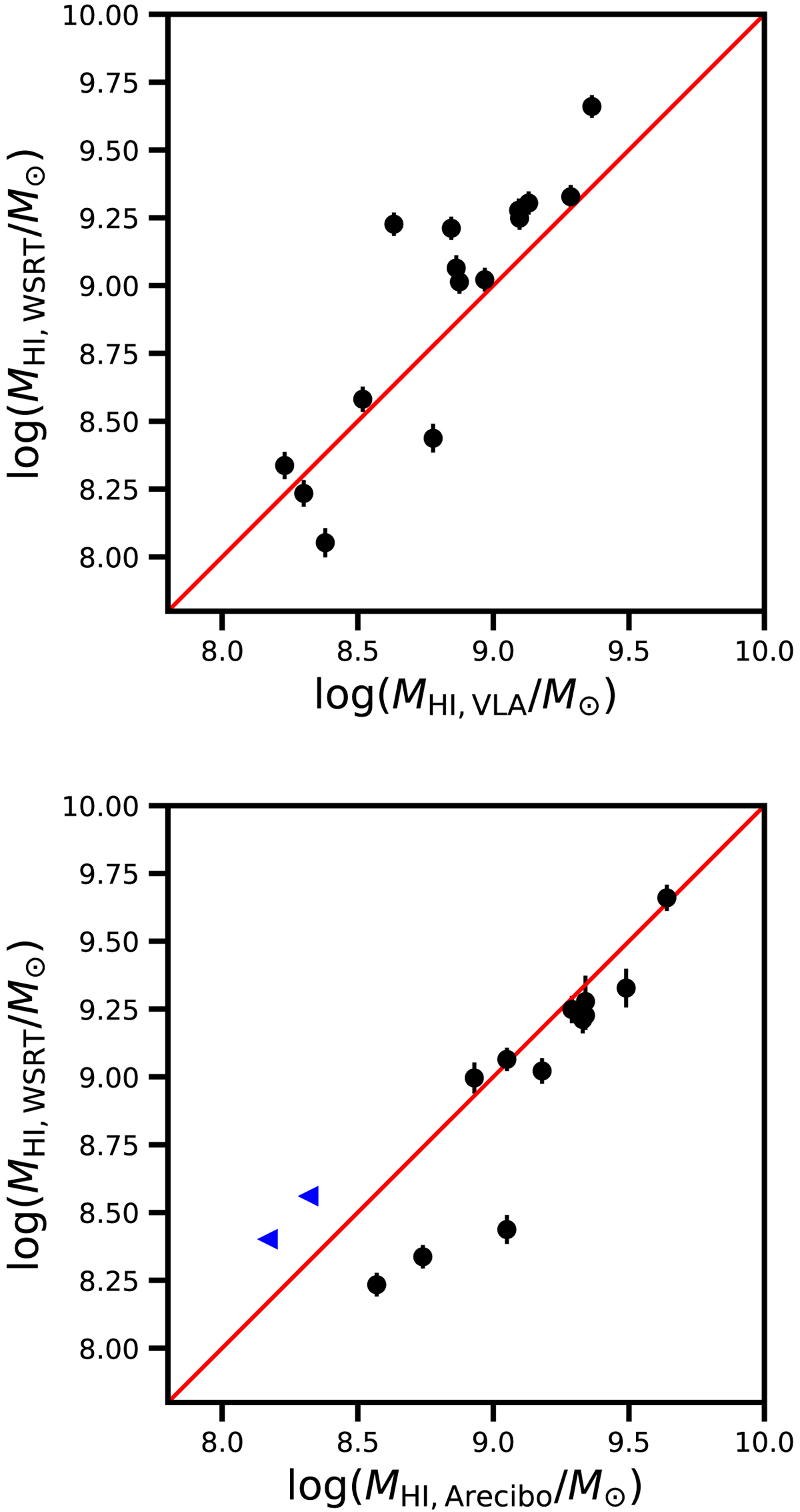
A comparison of H I masses recovered by our WSRT survey and the VLA measurements of Bravo-Alfaro et al. (2000, 2001), and the Arecibo survey of Gavazzi et al. (2006) in the top and bottom panels, respectively. Red lines in both figure represent a 1:1 relation. Blue triangles in the bottom panel indicate MHI upper limits in the Gavazzi et al. (2006) catalogue.
Current usage metrics show cumulative count of Article Views (full-text article views including HTML views, PDF and ePub downloads, according to the available data) and Abstracts Views on Vision4Press platform.
Data correspond to usage on the plateform after 2015. The current usage metrics is available 48-96 hours after online publication and is updated daily on week days.
Initial download of the metrics may take a while.