Fig. C.2.

Download original image
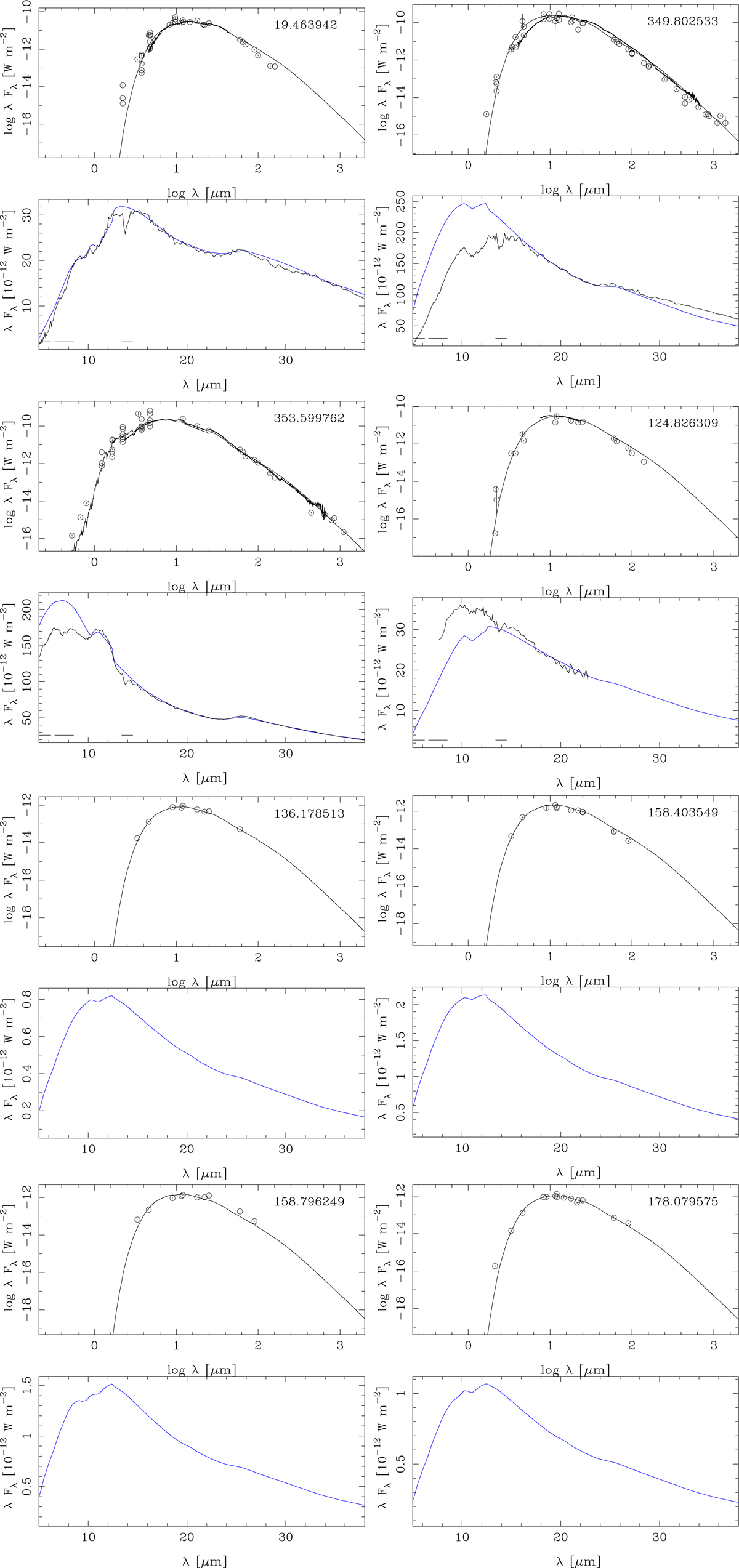
Examples of fits to the SEDs and MIR spectra of some C-stars. The complete set of SED fits for the O- and C-stars is available at https://doi.org/10.5281/zenodo.5825878. To highlight the difference in the dust features, the observations were scaled to the models based on the average flux in the 16-20 μm region for the C-stars and the 13-15 μm region for the O-stars in the MIR panels.
Current usage metrics show cumulative count of Article Views (full-text article views including HTML views, PDF and ePub downloads, according to the available data) and Abstracts Views on Vision4Press platform.
Data correspond to usage on the plateform after 2015. The current usage metrics is available 48-96 hours after online publication and is updated daily on week days.
Initial download of the metrics may take a while.