Free Access
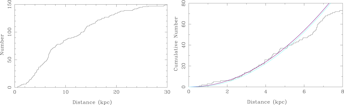
Fig. 5.

Download original image
Cumulative number distribution of ERO (candidates) versus distance. Right-hand panel: is a zoom, and it shows model predictions for combinations of local space density and vertical scale height of 1.6 kpc−3, 150 pc (dark blue); 0.8 kpc−3, 300 pc (red); and 0.30 kpc−3, 800 pc (light blue), respectively.
Current usage metrics show cumulative count of Article Views (full-text article views including HTML views, PDF and ePub downloads, according to the available data) and Abstracts Views on Vision4Press platform.
Data correspond to usage on the plateform after 2015. The current usage metrics is available 48-96 hours after online publication and is updated daily on week days.
Initial download of the metrics may take a while.