Table E.2
Alternative derived planet parameters for GJ 3929 b and the planet candidate considering the 15.0 d period.
Parameter | Posterior P![]() |
Posterior P![]() |
Units |
---|---|---|---|
Derived transit parameters | |||
p = Rp∕R⋆ | ![]() |
… | … |
b = (ap∕R⋆)cosip | ![]() |
… | … |
ap∕R⋆ | ![]() |
… | … |
ip | ![]() |
… | deg |
Derived physical parameters(b) | |||
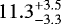
Mp | ![]() |
… | M⊕ |
Mp sin i | ![]() |
![]() |
M⊕ |
Rp | ![]() |
… | R⊕ |
ρp | ![]() |
… | g cm−3 |
gp | ![]() |
… | km s−2 |
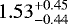
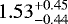
ap | ![]() |
![]() |
au |
![]() |
![]() |
![]() |
K |
S | ![]() |
![]() |
S⊕ |
ESM(d) | ![]() |
… | … |
TSM(d) | ![]() |
… | … |
Notes. (a) Error bars denote the 68% posterior credibility intervals. (b)We sample from a normal distribution for the stellar mass, stellar radius and stellar luminosity that is based on the results from Sect. 3. (c) Assuming a zero Bond albedo. (d)Emission and transmission spectroscopy metrics (Kempton et al. 2018)
Current usage metrics show cumulative count of Article Views (full-text article views including HTML views, PDF and ePub downloads, according to the available data) and Abstracts Views on Vision4Press platform.
Data correspond to usage on the plateform after 2015. The current usage metrics is available 48-96 hours after online publication and is updated daily on week days.
Initial download of the metrics may take a while.