Fig. 2.

Download original image
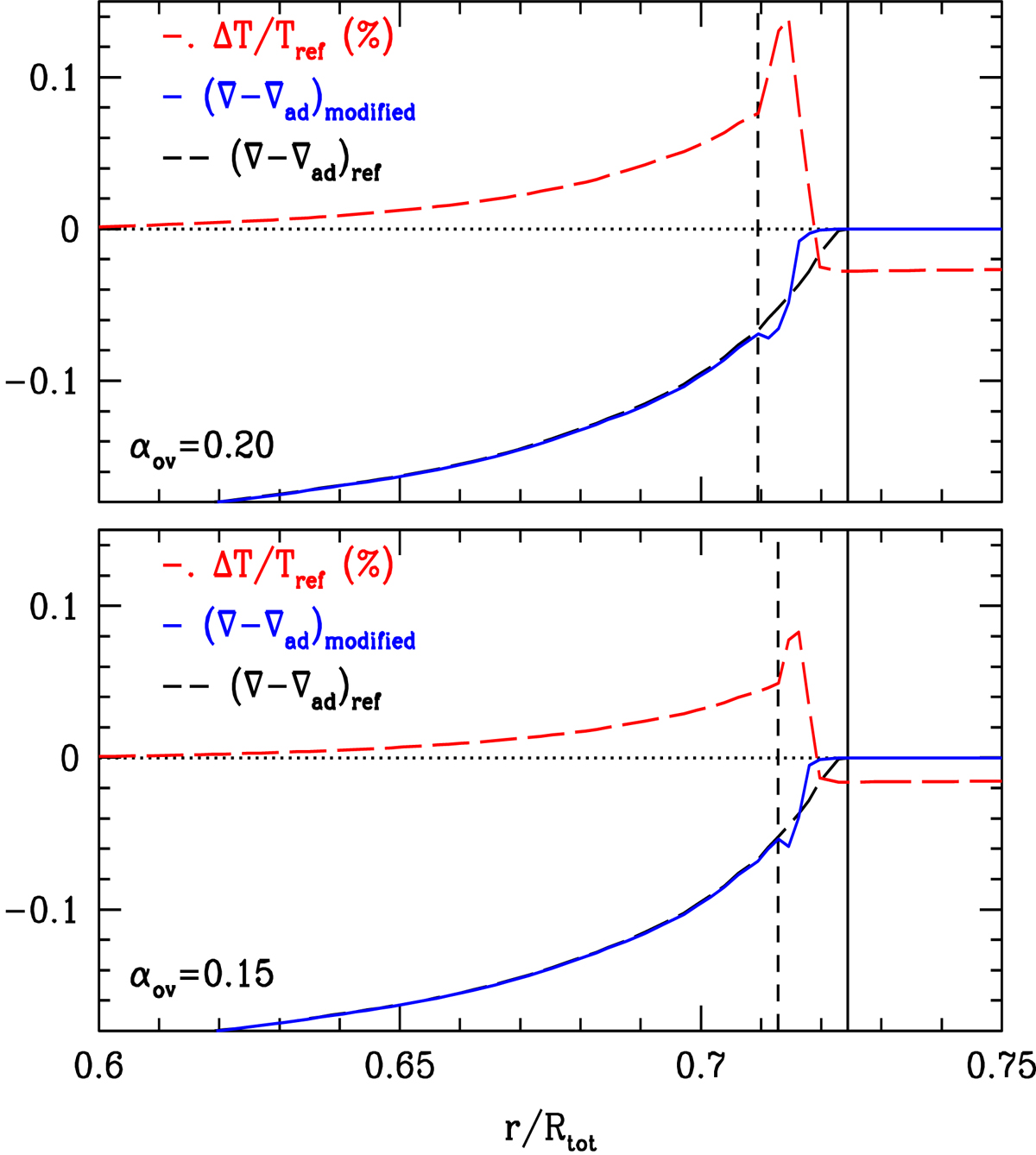
Radial profile of the temperature difference and of the sub-adiabaticity of a 1D solar-like structure with a modified temperature gradient in the overshooting layer according to Eqs. (2)–(5). The temperature gradient is modified over a distance dov = αovHP, CB, with αov = 0.15 in the lower panel and αov = 0.20 in the upper panel. The dash-dotted red lines show the percentage relative temperature difference, ΔT/Tref, with ΔT = T − Tref. The solid blue lines correspond to the sub-adiabaticity (∇−∇ad). The dashed black lines show the sub-adiabaticity of the reference model. The convective boundary is indicated by the vertical solid line. The vertical dashed line in each panel is located at a distance dov below the convective boundary.
Current usage metrics show cumulative count of Article Views (full-text article views including HTML views, PDF and ePub downloads, according to the available data) and Abstracts Views on Vision4Press platform.
Data correspond to usage on the plateform after 2015. The current usage metrics is available 48-96 hours after online publication and is updated daily on week days.
Initial download of the metrics may take a while.