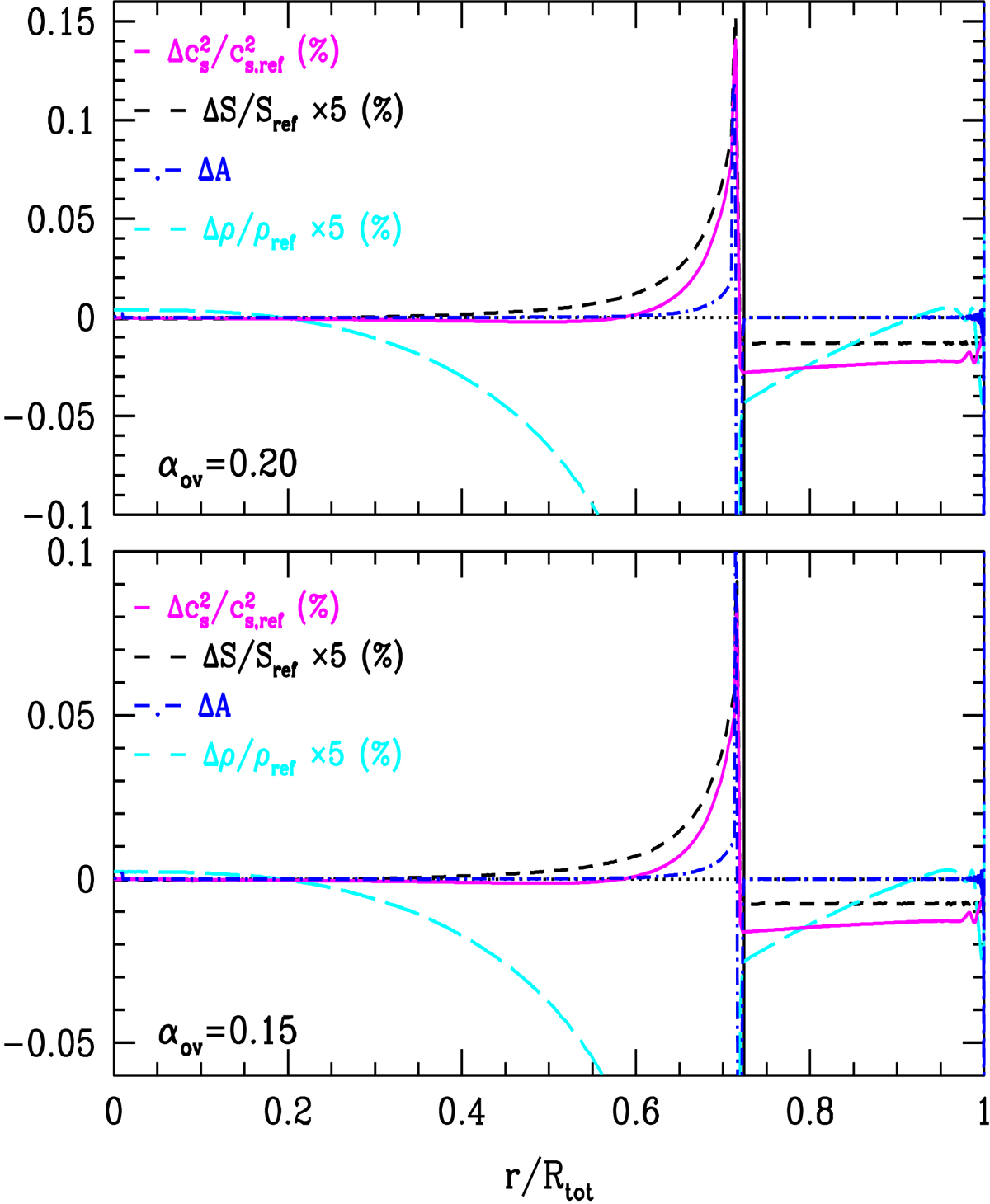
Fig. 3.

Download original image
Difference of various structural quantities between a model with a modified temperature gradient in the overshooting layer and a reference model calculated with the Lyon stellar evolution code. The temperature gradient in the modified model is changed over a distance dov = αovHP, CB below the convective boundary (indicated by the vertical solid line). Lower panel: results for αov = 0.15 and upper panel: for αov = 0.20.
Current usage metrics show cumulative count of Article Views (full-text article views including HTML views, PDF and ePub downloads, according to the available data) and Abstracts Views on Vision4Press platform.
Data correspond to usage on the plateform after 2015. The current usage metrics is available 48-96 hours after online publication and is updated daily on week days.
Initial download of the metrics may take a while.