Free Access
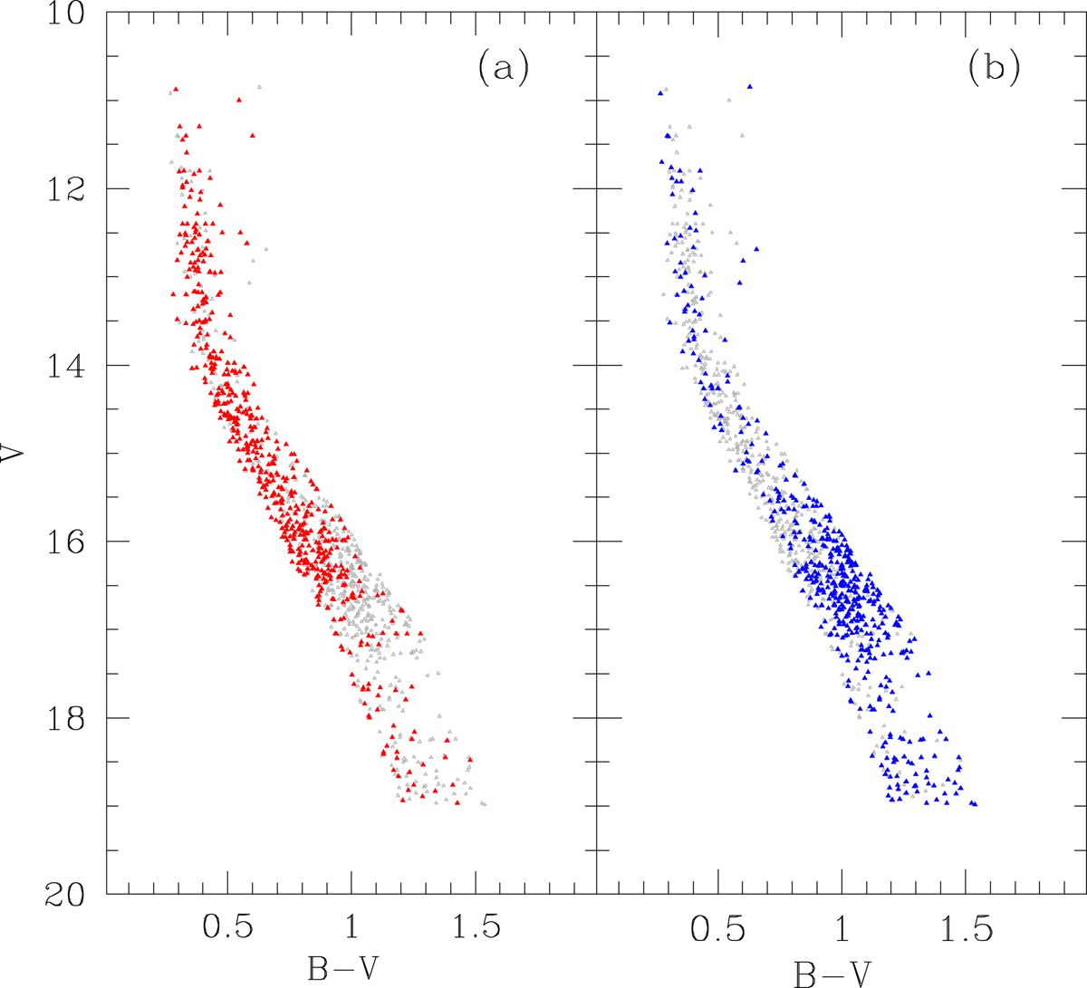
Fig. 5.

Download original image
(a) V, B − V CMD for NGC 6705 showing the stars observed with GIRAFFE in grey and RV candidate cluster members in red. (b) As in previous panel, but with candidates non members indicated in blue.
Current usage metrics show cumulative count of Article Views (full-text article views including HTML views, PDF and ePub downloads, according to the available data) and Abstracts Views on Vision4Press platform.
Data correspond to usage on the plateform after 2015. The current usage metrics is available 48-96 hours after online publication and is updated daily on week days.
Initial download of the metrics may take a while.