Fig. 4

Download original image
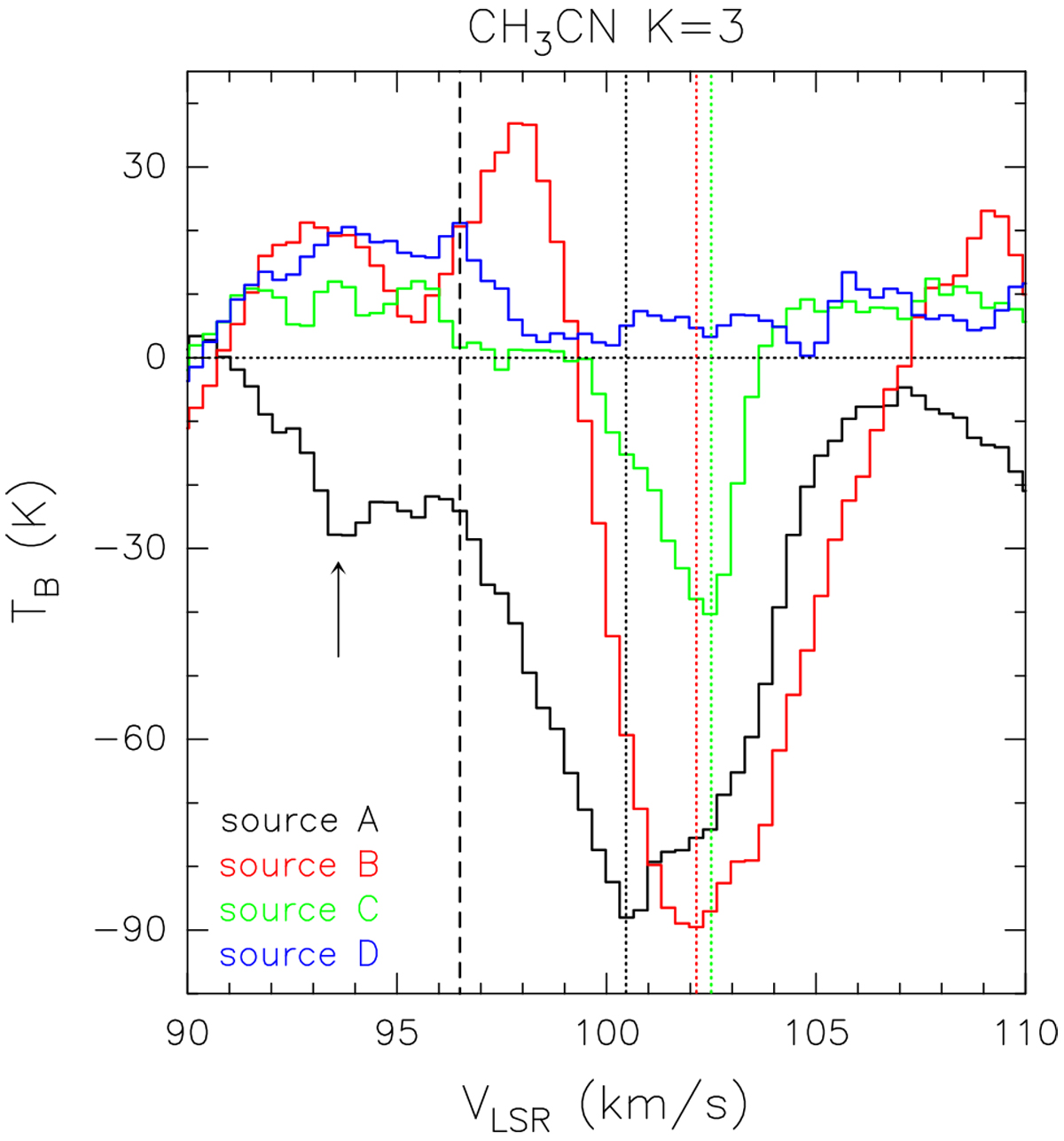
Same as Fig. 3, but for the CH3CN (12–11) K = 3 transition. The x-axis is in units of velocity. The vertical dashed line indicates the systemic LSR velocity of 96.5 ± 0.5 km s−1 (Beltrán et al. 2018). The black, red, and green dotted vertical lines indicate the velocity of the deepest absorption toward sources A, B, and C, respectively. The black arrow indicates the secondary absorption component at blueshifted velocities associated with source A.
Current usage metrics show cumulative count of Article Views (full-text article views including HTML views, PDF and ePub downloads, according to the available data) and Abstracts Views on Vision4Press platform.
Data correspond to usage on the plateform after 2015. The current usage metrics is available 48-96 hours after online publication and is updated daily on week days.
Initial download of the metrics may take a while.