Open Access
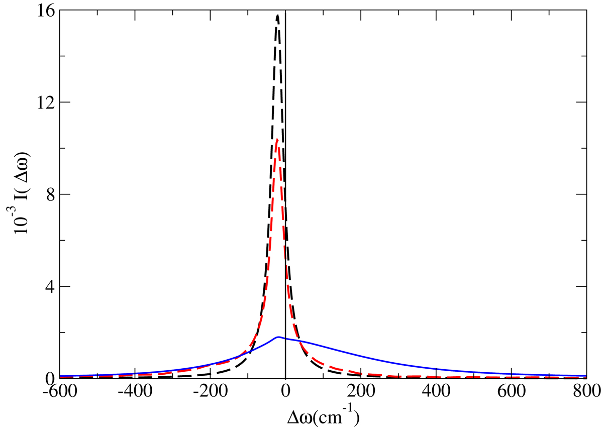
Fig. 6.

Download original image
Comparison of the total profile (blue line) to the profile restrictly obtained with the allowed transitions (red dashed line). The Balmer-β line profile is also compared to the Lorentzian approximation (black dashed curve). The He density is 5 × 1020 cm−3, and the temperature is 8000 K.
Current usage metrics show cumulative count of Article Views (full-text article views including HTML views, PDF and ePub downloads, according to the available data) and Abstracts Views on Vision4Press platform.
Data correspond to usage on the plateform after 2015. The current usage metrics is available 48-96 hours after online publication and is updated daily on week days.
Initial download of the metrics may take a while.