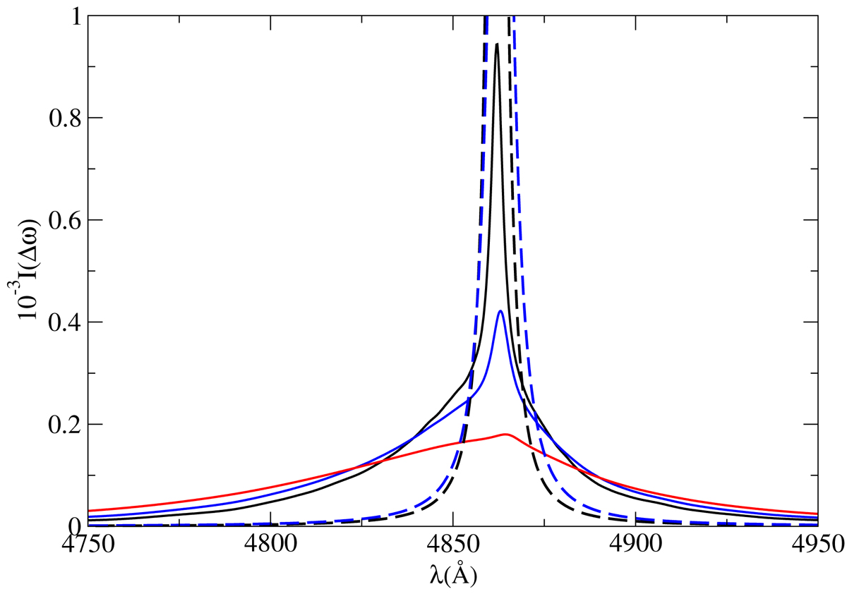
Fig. 7.

Download original image
Variation with the He density of the Balmer-β line profile for 2 × 1020 (black line), 3 × 1020 (blue line), and 5 × 1020 cm−3 (red line); the temperature is 8000 K. The Balmer-β line profiles are also compared to the Lorentzian approximation for the He densities 2 × 1020 cm−3 (dashed black line) and 3 × 1020 cm−3 (dashed blue line).
Current usage metrics show cumulative count of Article Views (full-text article views including HTML views, PDF and ePub downloads, according to the available data) and Abstracts Views on Vision4Press platform.
Data correspond to usage on the plateform after 2015. The current usage metrics is available 48-96 hours after online publication and is updated daily on week days.
Initial download of the metrics may take a while.