Free Access
Table A.2
Planet and debris disc constraints calculated in this paper.
System | Name | Mp / Mjup | ap 1 au | ep | Qp / arcsec | Mp,n / Mjup | rP,n / arcsec | Mp,stir / Mjup | Mdisc.stir / M? |
---|---|---|---|---|---|---|---|---|---|
CD-52 2472 | - | ![]() |
9±3 | - | 0.06 ± 0.02 | ![]() |
0.07 ± 0.02 | ![]() |
- |
CPD-72 2713 | - | ![]() |
60 ± 20 | - | ![]() |
![]() |
![]() |
![]() |
6000 ± 3000 |
GJ 581 | - | ![]() |
14 ± 6 | - | 2 ± 1 | (4 ± 4×10-5) | 3 ± 1 | (2 ± 5) × 10-6 | - |
GJ 649 | - | 0.03 ± 0.02 | 30 ± 20 | - | 3 ±2 | (2 ± 2) × 10-4 | 3 ±2 | (8 ± 30) × 10-6 | - |
HD 166 | - | ![]() |
10 ±8 | - | 0.7 ± 0.6 | ![]() |
0.9 ± 0.7 | 0.02 ± 0.05 | 1 ± 1 |
HD 203 | - | 0.8 ± 0.1 | 22 ±4 | - | 0.6 ± 0.1 | 0.05 ± 0.02 | 0.7 ± 0.1 | (2 ± 3) × 10-3 | - |
HD 377 | - | 0.40 ± 0.07 | 46 ± 8 | - | 1.2 ± 0.2 | 0.013 ± 0.005 | 1.5 ± 0.3 | (7 ± 7) × 10-4 | - |
HD 870 | - | 0.10 ± 0.02 | 50 ± 10 | - | 2.5 ± 0.5 | (9 ± 4) × 10-4 | 2.9 ± 0.6 | (5 ± 6) × 10-5 | - |
HD 1404 | s And | 0.3 ± 0.1 | 30 ± 8 | - | 0.7 ± 0.2 | (4 ± 3) × 10-3 | 0.8 ± 0.2 | (2 ± 3) × 10-4 | - |
HD 1461 | - | 0.08 ± 0.03 | 50 ± 20 | - | 2± 1 | (4 ± 3) × 10-4 | 2 ± 1 | (2 ± 4) × 10-3 | 9±7 |
HD 1466 | - | 0.28 ± 0.04 | 9±2 | - | 0.21 ± 0.04 | (5 ± 2) × 10-3 | 0.26 ± 0.05 | (3 ± 3) × 10-4 | - |
HD 2262 | k Phe | 0.24 ± 0.06 | 29 ± 8 | - | 1.3 ± 0.3 | (3 ± 1) × 10-3 | 1.5 ± 0.4 | (1 ± 2) × 10-4 | - |
HD 3003 | ß3 Tuc | 0.7 ± 0.1 | 17 ± 4 | - | 0.4 ± 0.1 | 0.020 ± 0.008 | 0.5 ± 0.1 | (1 ± 2) × 10-3 | - |
HD 3296 | - | 0.3 ± 0.1 | 80 ± 40 | - | 1.8 ± 0.9 | (5 ± 4) × 10-3 | 2± 1 | (3 ± 8) × 10-4 | - |
HD 3670 | - | 1.5 ± 0.2 | 80±10 | - | 1.0 ± 0.2 | 0.18 ± 0.06 | 1.3 ± 0.3 | (9 ± 10) × 10-3 | - |
HD 5133 | - | 0.07 ± 0.02 | 30 ±6 | - | 2.1 ± 0.4 | (4 ± 2) × 10-4 | 2.5 ± 0.5 | (2 ± 3) × 10-5 | - |
HD 7570 | v Phe | 0.08 ± 0.02 | 30 ± 10 | - | 1.9 ± 0.7 | (3 ± 2) × 10-4 | 2.1 ± 0.8 | (2 ± 3) × 10-5 | - |
HD 8907 | - | 0.28 ± 0.06 | 46 ±9 | - | 1.4 ± 0.3 | (6 ± 3) × 10-3 | 1.7 ± 0.3 | 0.04 ± 0.03 | 170 ± 60 |
HD 9672 | 49 Cet | 1.4 ± 0.1 | 48 ± 3 | - | ![]() |
0.10 ± 0.02 | ![]() |
![]() |
2300 ± 200 |
HD 10008 | EX Cet | 0.8 ± 0.2 | 30 ± 10 | ||||||
1.4 ± 0.4 | 0.07 ± 0.04 | 1.9 ± 0.6 | (4 ± 7)×10-3 | - | |||||
HD 10472 | - | 1.7 ± 0.3 | 80 ± 20 | - | 1.1 ± 0.2 | ![]() |
1.6 ± 0.3 | 0.01 ± 0.01 | - |
HD 10647 | q1 Eri | 0.16 ± 0.03 | 50 ± 1 | 0.07 ± 0.03 | 3.1 ± 0.1 | (1.6 ± 0.6) × 10-3 | 3.1 ± 0.1 | (8 ± 4) × 10-4 | 33 ± 6 |
HD 10700 | t Cet | ![]() |
![]() |
- | ![]() |
![]() |
![]() |
![]() |
0.21 ± 0.09 |
HD 11171 | ? Cet | 0.20 ± 0.06 | 30 ± 10 | - | 1.4 ± 0.4 | (2 ± 1) × 10-3 | 1.7 + 0.5 | (1 ± 2) × 10-4 | - |
HD 12039 | DK Cet | 0.32 ± 0.04 | 12 ±2 | - | 0.30 ± 0.05 | (9 ± 3) × 10-3 | 0.37 ± 0.07 | (4 ± 5) × 10-4 | - |
HD 13161 | ß Tri | ![]() |
13 ± 3 | - | 0.34 ± 0.09 | (8 ± 4) × 10-4 | 0.4 ± 0.1 | 30 ± 20 | 110 ± 30 |
HD 13246 | - | 1.1 ± 0.3 | 60 ± 20 | - | 1.3 ± 0.5 | 0.11 ±0.07 | 1.8 ± 0.7 | (6 ± 10) × 10-3 | - |
HD 15115 | - | 0.85 ± 0.09 | 34 ± 4 | - | 0.70 ± 0.09 | 0.05 ± 0.01 | 0.9 ± 0.1 | 0.07 ± 0.04 | 290 ± 30 |
HD 16743 | - | 1.1 ± 0.7 | 40 ± 40 | - | 0.7 ± 0.6 | 0.07 ± 0.09 | 0.9 ± 0.8 | 4 ± 10 | 3000 ± 2000 |
HD 17094 | µ Cet | 0.3 ± 0.3 | 70 ± 100 | - | 3 ±4 | (4 ± 10) × 10-3 | 3±5 | (2 ± 20) × 10-4 | - |
HD 17925 | EP Eri | 0.07 ± 0.05 | 5±5 | - | 0.5 ± 0.5 | (5 ± 7) × 10-4 | 0.6 ± 0.6 | 0.01 ± 0.05 | 0.2 ± 0.3 |
HD 19668 | IS Eri | ![]() |
11 ± 3 | - | 0.27 ± 0.08 | ![]() |
0.3 ± 0.1 | (9 ± 20) × 10-5 | - |
HD 21997 | - | ![]() |
52 ± 3 | - | 0.74 ± 0.04 | 0.11 ± 0.02 | 0.98 ± 0.06 | 0.07 ± 0.03 | ![]() |
HD 22049 | ? Eri | 0.19 ± 0.04 | ![]() |
- | 16.5 ± 0.3 | (4 ± 2) × 10-3 | ![]() |
(4 ± 2) × 10-4 | 16 ± 6 |
HD 22484 | 10 Tau | 0.03 ± 0.02 | 7±8 | - | 0.5 ± 0.5 | (3 ± 5) × 10-5 | 0.6 ± 0.6 | 0.03 ± 0.1 | 0.3 ± 0.4 |
HD 23356 | - | ![]() |
![]() |
- | 2.3 ± 0.5 | ![]() |
2.7 ± 0.6 | ![]() |
- |
HD 23484 | - | 0.04 ± 0.03 | 10 ± 10 | - | 0.9 ± 0.7 | (1 ± 2) × 10-4 | 1.0 ± 0.8 | 0.04 ± 0.1 | 4 ± 3 |
HD 25457 | - | ![]() |
36 ± 6 | - | 1.9 ± 0.3 | ![]() |
2.4 ± 0.4 | (7 ± 8) × 10-4 | - |
HD 27045 | ?2 Tau | ![]() |
23 ± 9 | - | 0.8 ± 0.3 | (4 ± 3) × 10-3 | 0.9 ± 0.4 | (2 ± 4) × 10-4 | - |
HD 27290 | ? Dor | 0.07 ± 0.04 | 12 ± 6 | - | 0.6 ± 0.3 | (3 ± 3) × 10-4 | 0.7 ± 0.3 | 10 ± 20 | 80 ± 50 |
HD 28355 | b Tau | 0.2 ± 0.1 | 20 ± 20 | - | 0.5 ± 0.4 | (2 ± 2) × 10-3 | 0.5 ± 0.5 | 0.04 ± 0.2 | 10 ± 10 |
HD 29391 | 51 Eri | 0.15 ± 0.06 | 18 ± 5 | - | 0.6 ± 0.2 | (1.1 ± 0.9)× 10-3 | 0.7 ± 0.2 | (5 ± 10) × 10-5 | - |
HD 30422 | EX Eri | 0.2 ± 0.1 | 30 ± 30 | - | 0.6 ± 0.5 | (2 ± 3) × 10-3 | 0.7 ± 0.6 | 0.05 ± 0.2 | 30 ± 40 |
HD 30447 | - | ![]() |
110 ± 40 | - | 1.3 ± 0.5 | 0.3 ± 0.2 | 1.8 ± 0.7 | 0.02 ± 0.03 | - |
HD 30495 | 58 Eri | 0.3 ± 0.2 | 13 ±9 | - | 1.0 ± 0.7 | (9 ± 10) × 10-3 | 1.2 ± 0.9 | 0.3 ± 0.7 | 20 ± 10 |
HD 31295 | p1 Ori | 0.5 ± 0.2 | 40 ± 20 | - | 1.1 ± 0.6 | 0.01 ± 0.01 | 1.4 ± 0.8 | 0.8 ± 1.0 | 400 ± 300 |
HD 32297 | - | ![]() |
![]() |
- | ![]() |
![]() |
![]() |
![]() |
![]() |
HD 32977 | 1 Tau | 0.4 ± 0.1 | 28 ± 8 | - | 0.5 ± 0.1 | (5 ± 3) × 10-3 | 0.5 ± 0.2 | (3 ± 4) × 10-4 | - |
HD 35114 | AS Col | ![]() |
15 ± 3 | - | ![]() |
![]() |
0.40 ± 0.08 | ![]() |
- |
HD 35850 | AF Lep | 1.1 ± 0.2 | 35 ±6 | - | 1.3 ± 0.2 | 0.09 ± 0.03 | 1.7 ± 0.3 | (5 ± 5) × 10-3 | - |
HD 36968 | - | 1.8 ± 0.3 | 70 ± 10 | - | 0.5 ± 0.1 | 0.23 ± 0.08 | 0.7 ± 0.1 | 0.01 ± 0.01 | - |
HD 37484 | - | 1.2 ± 0.2 | 60 ± 10 | - | 0.9 ± 0.2 | 0.11 ±0.04 | 1.3 ± 0.3 | (6 ± 8) × 10-3 | - |
HD 38206 | - | 2.3 ± 0.3 | 80 ± 10 | 0.3 ± 0.2 | 1.5 ± 0.3 | ![]() |
1.2 ± 0.3 | 0.08 ± 0.09 | ![]() |
HD 38397 | - | 0.6 ± 0.3 | 30 ± 20 | - | 0.5 ± 0.4 | 0.03 ± 0.04 | 0.6 ± 0.5 | 0.5 ± 1.0 | 300 ± 200 |
HD 38678 | ? Lep | 0.24 ± 0.06 | 17 ± 4 | - | 0.8 ± 0.2 | (3 ± 1) × 10-3 | 0.9 ± 0.2 | (1 ± 2) × 10-4 | - |
HD 40136 | ? Lep | ![]() |
15 ±3 | - | 1.0 ± 0.2 | ![]() |
1.1 ± 0.3 | ![]() |
- |
HD 43989 | - | 0.2 ± 0.1 | 5 ± 5 | - | 0.09 ± 0.09 | (2 ± 3) × 10-3 | 0.1 ± 0.1 | (1 ± 6) × 10-4 | - |
HD 46190 | - | 0.3 ± 0.3 | 20 ± 20 | - | 0.2 ± 0.2 | ![]() |
0.2 ± 0.3 | (2 ± 10) × 10-4 | - |
HD 48370 | - | 0.4 ± 0.3 | 20 ± 20 | - | 0.7 ± 0.6 | ![]() |
0.8 ± 0.8 | 2± 5 | ![]() |
HD 48682 | ?5 Aur | 0.10 ± 0.02 | 44 ± 5 | - | 2.7 ± 0.3 | (6 ± 3) × 10-4 | 3.1 ±0.3 | 0.02 ± 0.01 | 30 ± 10 |
HD 50554 | - | 0.08 ± 0.04 | 40 ± 20 | - | 1.2 ± 0.8 | (4 ± 5) × 10-4 | 1.4 ± 0.9 | (5 ± 10) × 10-3 | 10 ± 10 |
HD 53143 | - | 0.08 ± 0.03 | 16 ± 5 | - | 0.9 ± 0.3 | (5 ± 3) × 10-4 | 1.0 ± 0.3 | 0.10 ± 0.1 | 12 ± 5 |
HD 58715 | ß CMi | 0.30 ± 0.09 | 9 ± 4 | - | 0.19 ± 0.07 | (2 ± 1) × 10-3 | 0.21 ± 0.09 | (1.0 ± 2.0) × 10-4 | - |
HD 59967 | - | ![]() |
40 ± 20 | - | 1.9 ± 0.7 | ![]() |
2.3 ± 0.9 | (3 ± 6) × 10-4 | - |
HD 61005 | The Moth | ![]() |
![]() |
- | 1.12 ± 0.02 | 0.053 ± 0.008 | 1.47 ± 0.02 | 0.03 ± 0.01 | ![]() |
HD 69830 | - | (3.5 ± 0.7) × 10-3 | 0.8 ± 0.1 | - | 0.06 ± 0.01 | (8 ± 3) × 10-7 | 0.07 ± 0.01 | (4 ± 4) × 10-8 | - |
HD 70313 | - | 0.6 ± 0.3 | 50 ± 30 | - | 1.0 ± 0.6 | 0.02 ± 0.02 | 1.2 ±0.8 | 0.2 ± 0.4 | 200 ± 200 |
HD 71043 | - | 0.6 ± 0.1 | 13 ± 3 | - | 0.17 ± 0.05 | 0.012 ± 0.006 | 0.21 ± 0.06 | (6 ± 10) × 10-4 | - |
HD 71155 | 30 Mon | 0.4 ± 0.2 | 20 ± 10 | - | 0.6 ± 0.4 | (5 ± 6) × 10-3 | 0.7 ± 0.5 | 0.04 ± 0.1 | 7 ± 6 |
HD 72905 | p1 UMa | 0.23 ± 0.06 | 24 ± 6 | - | 1.7 ± 0.4 | (4 ± 2) × 10-3 | 2.0 ± 0.5 | (2 ± 3) × 10-4 | - |
HD 75616 | - | 0.4 ± 0.1 | 110 ± 30 | - | 3.1 ± 0.8 | 0.010 ± 0.007 | 4± 1 | (5 ± 8) × 10-4 | - |
HD 76151 | - | 0.07 ± 0.02 | 18 ± 4 | - | 1.1 ± 0.2 | (3 ± 2) × 10-4 | 1.2 ± 0.3 | (2 ± 2) × 10-5 | - |
HD 85364 | 6 Sex | ![]() |
60 ± 20 | - | 0.9 ± 0.2 | ![]() |
1.1 ±0.3 | (3 ± 5) × 10-4 | - |
HD 87696 | 21 LMi | 0.13 ± 0.03 | 15 ± 3 | - | 0.5 ± 0.1 | (7 ± 3) × 10-4 | 0.6 ± 0.1 | (4 ± 5) × 10-5 | - |
HD 90905 | - | 0.23 ± 0.06 | 28 ± 6 | - | 0.9 ± 0.2 | (4 ± 2) × 10-3 | 1.1 ±0.3 | (2 ± 3) × 10-4 | - |
HD 92536 | - | 0.8 ± 0.2 | 15 ± 5 | - | 0.09 ± 0.03 | 0.02 ± 0.01 | 0.11 ± 0.04 | (9 ± 20) × 10-4 | - |
HD 92945 | - | 0.32 ± 0.06 | ![]() |
- | ![]() |
0.010 ± 0.004 | ![]() |
![]() |
![]() |
HD 95418 | ß UMa | 0.2 ± 0.1 | 20 ± 10 | - | 0.5 ± 0.4 | (2 ± 2) × 10-3 | 0.6 ± 0.5 | 0.01 ± 0.04 | 1.6 ± 0.6 |
HD 102458 | - | 0.6 ± 0.1 | 9 ± 2 | - | 0.08 ± 0.02 | 0.019 ± 0.008 | 0.10 ±0.02 | (1.0 ± 1.0) × 10-3 | - |
HD 102647 | ß Leo | 0.30 ± 0.04 | 6± 1 | - | 0.6 ± 0.1 | (4 ± 1) × 10-3 | 0.7 ± 0.1 | 9±6 | 11 ±2 |
HD 103234 | - | 0.6 ± 0.1 | 10 ± 2 | - | 0.10 ± 0.02 | 0.021 ± 0.008 | 0.12 ±0.03 | (1 ± 1) × 10-3 | - |
HD 103703 | - | 0.41 ± 0.07 | 6 ± 1 | - | 0.06 ± 0.01 | 0.010 ± 0.004 | 0.07 ± 0.01 | (5 ± 6) × 10-4 | - |
HD 104231 | - | ![]() |
7 ± 1 | - | 0.06 ± 0.01 | 0.011 ±0.004 | 0.08 ± 0.02 | (6 ± 6) × 10-4 | - |
HD 104860 | - | 0.3 ± 0.2 | 50 ± 30 | - | 1.0 ± 0.6 | 0.01 ± 0.01 | 1.2 ± 0.8 | 0.05 ± 0.1 | 300 ± 300 |
HD 105613 | - | 0.5 ± 0.1 | 6± 1 | - | 0.06 ± 0.01 | 0.012 ± 0.005 | 0.07 ± 0.02 | (6 ± 8) × 10-4 | - |
HD 107146 | - | ![]() |
![]() |
- | ![]() |
![]() |
![]() |
![]() |
![]() |
HD 107649 | - | 0.7 ± 0.1 | 12 ±2 | - | 0.11 ±0.02 | 0.03 ± 0.01 | 0.14 ±0.03 | (2 ± 2) × 10-3 | - |
HD 109085 | ? Crv | ![]() |
![]() |
- | ![]() |
![]() |
7.0 ±0.1 | ![]() |
![]() |
HD 109832 | - | 2.2 ± 0.5 | 50 ± 10 | - | 0.5 ± 0.1 | 0.3 ± 0.2 | 0.7 ± 0.2 | 0.02 ± 0.03 | - |
HD 110058 | - | 0.5 ± 0.4 | 8 ± 8 | - | 0.06 ± 0.06 | 0.02 ± 0.02 | 0.08 ± 0.08 | ![]() |
![]() |
HD 110411 | ? Vir | 0.3 ± 0.2 | 20 ± 20 | - | 0.6 ± 0.5 | (4 ± 6) × 10-3 | 0.8 ± 0.6 | 1.0 ± 3.0 | 110 ± 90 |
HD 110634 | - | 0.5 ± 0.1 | 10 ± 2 | - | 0.08 ± 0.02 | 0.021 ± 0.009 | 0.10 ±0.02 | (1 ± 1) × 10-3 | - |
HD 110897 | 10 CVn | 0.04 ± 0.02 | 30 ± 20 | - | 2 ± 1 | (2 ± 2) × 10-4 | 2 ± 1 | (5 ± 10) × 10-3 | 5±6 |
HD 111103 | - | 0.9 ± 0.2 | 20 ± 4 | - | 0.16 ± 0.03 | 0.06 ± 0.02 | 0.20 ± 0.04 | (3 ± 4) × 10-3 | - |
HD 111520 | - | 1.5 ± 0.3 | ![]() |
- | ![]() |
![]() |
0.5 ±0.1 | 0.2 ± 0.2 | 1000 ± 400 |
HD 111631 | - | 0.6 ± 0.2 | 300 ± 100 | - | 30 ± 10 | 0.07 ± 0.05 | 40 ± 10 | (3 ± 7) × 10-3 | - |
HD 112429 | 8 Dra | 0.22 ± 0.08 | 50 ± 20 | - | 1.7 ± 0.5 | (3 ± 2) × 10-3 | 2.1 ±0.6 | (1 ± 2) × 10-4 | - |
HD 113337 | - | 0.11 ±0.06 | 20 ± 20 | - | 0.6 ± 0.4 | (6 ± 7) × 10-4 | 0.7 ± 0.5 | 0.1 ± 0.4 | 30 ± 20 |
HD 113524 | - | 0.5 ± 0.1 | 9 ± 2 | - | 0.08 ± 0.02 | 0.017 ± 0.008 | 0.09 ± 0.02 | (9 ± 10) × 10-4 | - |
HD 113556 | - | 2.6 ± 0.6 | 70 ± 20 | - | 0.7 ± 0.2 | 0.5 ± 0.3 | 1.0 ±0.3 | 0.03 ± 0.04 | - |
HD 114082 | - | 1.1 ± 0.2 | 22 ± 4 | - | 0.23 ± 0.04 | 0.08 ± 0.03 | 0.31 ± 0.06 | (4 ± 5) × 10-3 | - |
HD 115617 | 61 Vir | 0.06 ± 0.02 | 30 ± 10 | - | 3 ± 2 | (2 ± 2) × 10-4 | 4±2 | ![]() |
![]() |
HD 115820 | - | 1.1 ± 0.2 | 21 ±5 | - | 0.18 ± 0.04 | 0.08 ± 0.03 | 0.24 ± 0.06 | (4 ± 5) × 10-3 | - |
HD 115892 | ? Cen | 0.4 ± 0.2 | 20 ± 10 | - | 1.1 ± 0.7 | (5 ± 6) × 10-3 | 1.4 ± 0.9 | (3 ± 9) × 10-4 | - |
HD 120326 | - | 1.1 ± 0.2 | 23 ±4 | - | 0.21 ± 0.04 | 0.08 ± 0.03 | 0.27 ± 0.05 | (4 ± 5) × 10-3 | - |
HD 121191 | - | 1.1 ± 0.2 | 21 ±5 | - | 0.16 ± 0.04 | 0.08 ± 0.03 | 0.21 ± 0.05 | 0.5 ± 0.4 | ![]() |
HD 121617 | - | 1.9 ± 0.3 | 37 ±5 | - | 0.32 ± 0.04 | 0.19 ± 0.06 | 0.42 ± 0.06 | 0.3 ± 0.2 | 900 ± 200 |
HD 123889 | - | 1.2 ± 0.2 | 25 ± 6 | - | 0.20 ± 0.05 | 0.09 ± 0.04 | 0.26 ± 0.06 | (5 ± 6) × 10-3 | - |
HD 125162 | ? Boo | 0.10 ± 0.06 | 6±4 | - | 0.2 ± 0.1 | (4 ± 5) × 10-4 | 0.2 ± 0.2 | 100 ± 300 | 90 ± 30 |
HD 125451 | 18 Boo | 0.26 ± 0.07 | 70 ± 20 | - | 2.8 ± 0.6 | (4 ± 3) × 10-3 | 3.4 ± 0.8 | (2 ± 3) × 10-4 | - |
HD 125541 | - | 0.8 ± 0.1 | 15 ±3 | - | 0.09 ± 0.02 | 0.04 ± 0.01 | 0.12 ± 0.03 | (2 ± 3) × 10-3 | - |
HD 126062 | - | 7± 1 | 200 ± 50 | - | 1.5 ± 0.4 | 3 ± 1 | 2.3 ± 0.6 | 0.1 ± 0.2 | - |
HD 127762 | ? Boo | 0.6 ± 0.2 | 110 ± 30 | - | 4 ± 1 | 0.02 ± 0.01 | 5 ± 2 | (8 ± 10) × 10-4 | - |
HD 127821 | - | 0.21 ± 0.05 | 56 ±9 | - | 1.8 ± 0.3 | (3 ± 1) × 10-3 | 2.1 ± 0.3 | 0.01 ± 0.01 | 120 ± 40 |
HD 128311 | HN Boo | 0.4 ± 0.2 | 110 ± 60 | - | 7±3 | 0.02 ± 0.02 | 8±5 | (9 ± 30) × 10-4 | - |
HD 131511 | DE Boo | 0.2 ± 0.1 | 80 ± 50 | - | 7±5 | (6 ± 6) × 10-3 | 8 ±6 | (3 ± 10) × 10-4 | - |
HD 131835 | - | 1.6 ± 0.1 | 30 ± 2 | - | 0.23 ± 0.01 | 0.13 ± 0.02 | 0.30 ± 0.02 | 1.2 ± 0.5 | 1500 ± 100 |
HD 134888 | - | ![]() |
41 ±7 | - | 0.37 ± 0.07 | 0.19 ± 0.06 | 0.50 ± 0.09 | 0.010 ±0.01 | - |
HD 135379 | ß Cir | 0.21 ± 0.05 | 18 ±4 | - | 0.6 ± 0.2 | (1.7 ± 0.8) × 10-3 | 0.7 ± 0.2 | (8 ± 10) × 10-5 | - |
HD 135599 | - | 0.13 ± 0.03 | 41 ±7 | - | 2.6 ± 0.5 | (1.7 ± 0.9) × 10-3 | 3.1 ± 0.6 | (8 ± 10) × 10-5 | - |
HD 135953 | - | 1.8 ± 0.2 | 54 ± 9 | - | 0.42 ± 0.07 | 0.28 ± 0.09 | 0.6 ± 0.1 | 0.01 ± 0.02 | - |
HD 138813 | - | 2.8 ± 0.5 | 41 ±6 | - | ![]() |
0.4 ± 0.2 | ![]() |
3 ± 2 | 4000 ± 1000 |
HD 139006 | a CrB | 0.09 ± 0.08 | 3 ± 3 | - | 0.1 ± 0.1 | (2 ± 4) × 10-4 | 0.1 ± 0.2 | 40 ± 200 | 4±2 |
HD 139664 | g Lup | ![]() |
![]() |
- | 2.0 ± 0.4 | ![]() |
2.5 ± 0.5 | ![]() |
![]() |
HD 141943 | NZ Lup | 1.3 ± 0.2 | 33 ± 7 | - | 0.6 ± 0.1 | 0.13 ± 0.05 | 0.7 ± 0.2 | (7 ± 8) × 10-3 | - |
HD 143894 | p Ser | 1.3 ± 0.3 | 190 ± 50 | - | 4 ± 1 | 0.07 ± 0.04 | 5 ± 1 | (4 ± 6) × 10-3 | - |
HD 145689 | - | 0.46 ± 0.08 | 12 ± 3 | - | 0.21 ± 0.05 | 0.010 ± 0.004 | 0.25 ± 0.06 | (5 ± 7) × 10-4 | - |
HD 145964 | - | 4 ± 1 | 70 ± 20 | - | 0.6 ± 0.2 | 0.9 ± 0.6 | 0.8 ± 0.3 | 0.05 ± 0.09 | - |
HD 145972 | - | 0.6 ± 0.1 | 10 ±2 | - | 0.08 ± 0.02 | 0.023 ± 0.008 | 0.10 ± 0.02 | (1 ± 1) × 10-3 | - |
HD 146181 | - | ![]() |
![]() |
- | ![]() |
![]() |
![]() |
0.04 ± 0.05 | ![]() |
HD 146624 | d Sco | 0.4 ± 0.1 | 25 ± 7 | - | 0.6 ± 0.2 | (6 ± 4) × 10-3 | 0.7 ± 0.2 | (3 ± 5) × 10-4 | - |
HD 146897 | - | 2.0 ± 0.4 | ![]() |
- | ![]() |
![]() |
![]() |
0.06 ± 0.07 | 1000 ± 500 |
HD 152598 | 53 Her | 0.3 ± 0.1 | 21 ± 4 | - | 0.7 ± 0.1 | ![]() |
0.8 ± 0.2 | ![]() |
- |
HD 156623 | - | 0.6 ± 0.4 | 8±8 | - | 0.07 ± 0.07 | 0.02 ± 0.03 | 0.09 ± 0.09 | 200 ± 500 | 800 ± 400 |
HD 161868 | ? Oph | 0.6 ± 0.2 | 56 ±7 | - | 1.9 ± 0.2 | 0.017 ± 0.009 | 2.3 ± 0.3 | 0.06 ± 0.04 | 300 ± 100 |
HD 166348 | - | 0.03 ± 0.03 | 10 ± 20 | - | 1 ± 1 | (9 ± 20) × 10-5 | 1 ± 1 | (5 ± 30) × 10-6 | - |
HD 169022 | ? Sgr | 2.2 ± 0.8 | 90 ± 40 | - | 2.1 ± 0.9 | 0.12 ± 0.09 | 3 ± 1 | (6 ± 20) × 10-3 | - |
HD 172555 | - | 0.6 ± 0.1 | 12 ±3 | - | 0.42 ± 0.09 | 0.019 ± 0.007 | 0.5 ± 0.1 | (1.0 ± 1.0) × 10-3 | - |
HD 179520 | - | 0.16 ± 0.05 | 13 ±3 | - | 0.22 ± 0.05 | (1.4 ± 0.9) × 10-3 | 0.26 ± 0.06 | (7 ± 10) × 10-5 | - |
HD 181296 | ? Tel | 1.5 ± 0.3 | 30 ±8 | - | 0.6 ± 0.2 | 0.10 ± 0.04 | 0.8 ± 0.2 | (5 ± 8) × 10-3 | - |
HD 181327 | - | 1.6 ± 0.1 | 53.9 ± 0.4 | - | 1.120 ± 0.009 | 0.20 ± 0.03 | ![]() |
0.024 ± 0.008 | 750 ± 70 |
HD 182919 | 5 Vul | 0.4 ± 0.1 | 21 ±6 | - | 0.29 ± 0.08 | (6 ± 3) × 10-3 | 0.3 ± 0.1 | (3 ± 5) × 10-4 | - |
HD 183324 | c Aql | 0.3 ± 0.2 | 40 ± 40 | - | 0.7 ± 0.6 | (5 ± 7) × 10-3 | 0.8 ± 0.7 | 0.2 ± 0.7 | 100 ± 100 |
HD 188228 | ? Pav | 1.2 ± 0.6 | 30 ± 20 | - | 1.0 ± 0.7 | 0.06 ± 0.07 | 1 ± 1 | 1 ± 3 | 100 ± 100 |
HD 191089 | - | ![]() |
28 ± 1 | - | 0.56 ± 0.03 | 0.06 ± 0.01 | 0.74 ± 0.03 | 0.017 ± 0.006 | 110 ± 10 |
HD 191174 | - | 0.9 ± 0.2 | 110 ± 30 | - | 1.3 ± 0.3 | 0.04 ± 0.02 | 1.6 ± 0.5 | (2 ± 3) × 10-3 | - |
HD 191849 | - | 0.16 ± 0.07 | 70 ± 40 | - | 11 ±6 | (4 ± 4) × 10-3 | 13 ±7 | (2 ± 6) × 10-4 | - |
HD 192425 | ? Aql | 0.7 ± 0.2 | 80 ± 20 | - | 1.6 ± 0.5 | 0.02 ± 0.01 | 2.0 ± 0.7 | 0.8 ± 1.0 | 1500 ± 700 |
HD 192758 | - | 0.9 ± 0.6 | 30 ± 30 | - | 0.5 ± 0.4 | 0.05 ± 0.07 | 0.7 ± 0.6 | 2 ± 5 | 900 ± 800 |
HD 193571 | ?1 Sgr | 1.2 ± 0.3 | 90 ± 30 | - | 1.3 ± 0.4 | 0.06 ± 0.04 | 1.7 ± 0.5 | (3 ± 5) × 10-3 | - |
HD 196544 | ? Del | ![]() |
80 ± 20 | - | 1.3 ± 0.4 | ![]() |
1.7 ± 0.5 | (4 ± 7) × 10-3 | |
HD 197481 | AU Mic | 0.44 ± 0.03 | 21.9 ± 0.3 | ||||||
2.26 ± 0.03 | 0.031 ± 0.005 | 2.95 ± 0.03 | (8 ± 3) × 10-3 | 66 ± 6 | |||||
HD 199260 | - | ![]() |
46 ±9 | - | 2.2 ± 0.4 | ![]() |
2.6 ± 0.5 | (4 ± 4) × 10-4 | - |
HD 202628 | - | 0.33 ± 0.06 | 116 ± 2 | 0.09 ± 0.01 | 5.3 ± 0.1 | (9 ± 3) × 10-3 | 5.5 ± 0.1 | (5 ± 2) × 10-4 | 200 ± 50 |
HD 205811 | 3 Peg | 0.35 ± 0.09 | 29 ± 9 | - | 0.3 ± 0.1 | (5 ± 2) × 10-3 | 0.4 ± 0.1 | (2 ± 4) × 10-4 | - |
HD 206860 | HN Peg | 0.20 ± 0.04 | 26 ± 6 | - | 1.5 ± 0.4 | (3 ± 1) × 10-3 | 1.7 ± 0.4 | (1 ± 2) × 10-4 | - |
HD 207129 | - | ![]() |
109 ± 3 | - | 7.0 ± 0.2 | ![]() |
![]() |
![]() |
![]() |
HD 209253 | - | 0.3 ± 0.1 | 60 ± 10 | - | 2.1 ± 0.4 | (8 ± 6) × 10-3 | 2.5 ± 0.6 | (4 ± 6) × 10-4 | - |
HD 213398 | ß PsA | 0.8 ± 0.3 | 50 ± 20 | - | 1.2 ± 0.4 | 0.03 ± 0.02 | 1.4 ± 0.6 | (1 ± 3) × 10-3 | - |
HD 213617 | 39 Peg | 0.6 ± 0.1 | 120 ± 30 | - | 2.3 ± 0.5 | 0.02 ± 0.01 | 2.9 ± 0.6 | (1 ± 1) × 10-3 | - |
HD 215766 | t1 Aqr | ![]() |
40 ± 10 | - | 0.4 ± 0.1 | ![]() |
0.5 ± 0.2 | (2 ± 4) × 10-3 | - |
HD 216435 | t1 Gru | 0.08 ± 0.05 | 40 ± 20 | - | 1.1 ± 0.7 | (4 ± 4) × 10-4 | 1.2 ± 0.9 | (4 ± 10) × 10-3 | 8 ± 8 |
HD 218340 | - | 0.4 ± 0.2 | 120 ± 30 | - | 2.1 ± 0.5 | 0.01 ± 0.01 | 2.6 ± 0.7 | (5 ± 9) × 10-4 | - |
HD 218396 | HR 8799 | ![]() |
![]() |
- | ![]() |
![]() |
![]() |
![]() |
5000 ± 1000 |
HD 218511 | - | ![]() |
28 ± 6 | - | 1.9 ± 0.4 | ![]() |
2.2 ± 0.5 | ![]() |
- |
HD 219482 | - | 0.08 ± 0.06 | 8±7 | - | 0.4 ± 0.4 | (4 ± 6) × 10-4 | 0.4 ± 0.4 | (8 ± 30) × 10-3 | 0.4 ± 0.3 |
HD 219498 | - | ![]() |
28 ± 5 | - | 0.5 ± 1.0 | ![]() |
0.6 ± 2.0 | ![]() |
- |
HD 220825 | K Psc | 0.5 ± 0.1 | 22 ± 6 | - | 0.4 ± 0.1 | ![]() |
0.5 ± 0.2 | (4 ± 7) × 10-4 | - |
HD 221853 | - | ![]() |
![]() |
- | 0.6 ± 0.1 | ![]() |
0.7 ± 0.1 | ![]() |
- |
HD 222368 | ? Psc | 0.07 ± 0.02 | 30 ± 10 | - | 2.5 ± 0.9 | (3 ± 2) × 10-4 | 3 ± 1 | (2 ± 3) × 10-5 | - |
HD 223340 | - | ![]() |
28 ± 5 | - | 0.6 ± 0.1 | ![]() |
0.8 ± 0.1 | (5 ± 6) × 10-4 | - |
HD 223352 | d Scl | 0.5 ± 0.1 | 22 ± 6 | - | 0.5 ± 0.1 | ![]() |
0.6 ± 0.2 | (4 ± 7) × 10-4 | - |
HIP 6276 | - | 0.22 ± 0.06 | 18 ±6 | - | 0.5 ± 0.2 | ![]() |
0.6 ± 0.2 | (2 ± 4) × 10-4 | - |
MML 8 | - | 0.52 ± 0.09 | 9 ± 2 | - | 0.08 ± 0.02 | 0.019 ± 0.007 | 0.10 ± 0.02 | (1.0 ± 1.0) × 10-3 | - |
MML 28 | - | 0.6 ± 0.1 | 15 ±3 | - | 0.13 ± 0.03 | 0.04 ± 0.01 | 0.17 ± 0.04 | (2 ± 2) × 10-3 | - |
MML 36 | - | 0.49 ± 0.08 | 10 ±2 | - | 0.10 ± 0.02 | 0.018 ± 0.007 | 0.12 ± 0.03 | (9 ± 10) × 10-4 | - |
NLTT 54872 | Fomalhaut C | 0.048 ± 0.003 | ![]() |
![]() |
2.9 ± 0.1 | (8 ± 1) × 10-4 | 3.3 ± 0.1 | (4 ± 1) × 10-5 | 3.0 ± 0.6 |
SAO 150676 | Al Lep | 0.10 ± 0.06 | 2 ± 2 | - | 0.03 ± 0.02 | (6 ± 8) × 10-4 | 0.03 ± 0.03 | (3 ± 10) × 10-5 | - |
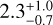
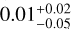
Notes. Column definitions are as follows. Mp, ap, and ep: minimum mass, maximum semi-major axis, and minimum eccentricity, respectively, that a single planet requires to sculpt the disc inner edge, as derived in Sect. 3.1 (a dash for ep means the planet is not required to be eccentric because the disc model is axisymmetric). Qp: maximum apocentre distance (in arcsec) that a single sculpting planet can have. Mp,n: minimum mass that each individual planet requires if instead multiple planets sculpt the disc inner edge (Sect. 3.2). rp,n: maximum projected separation (in arcsec) of the outermost planet in the multi-planet scenario. Mp,stir: minimum mass that a planet requires to stir the disc, assuming the planet eccentricity is ≤ 0.3 (Sect. 4.2). Mdisc,stir: minimum mass that the disc requires to self-stir, as derived in Sect. 4.1 (a dash means this value could not be calculated because no disc width information was available). Uncertainties are 1σ.
Current usage metrics show cumulative count of Article Views (full-text article views including HTML views, PDF and ePub downloads, according to the available data) and Abstracts Views on Vision4Press platform.
Data correspond to usage on the plateform after 2015. The current usage metrics is available 48-96 hours after online publication and is updated daily on week days.
Initial download of the metrics may take a while.