Free Access
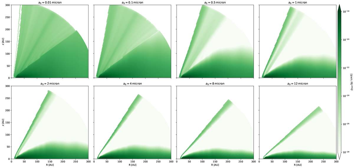
Fig. 4

Download original image
varTD20 counterpart of Fig. 3, using an identical colourbar. Dust settling leads to an outflow which, for a0 ≳ 0.5 μm, is mainly fueled from the outer gap edge where the wind interacts with the disk at low z.
Current usage metrics show cumulative count of Article Views (full-text article views including HTML views, PDF and ePub downloads, according to the available data) and Abstracts Views on Vision4Press platform.
Data correspond to usage on the plateform after 2015. The current usage metrics is available 48-96 hours after online publication and is updated daily on week days.
Initial download of the metrics may take a while.