Free Access

Fig. 6

image

Download original image

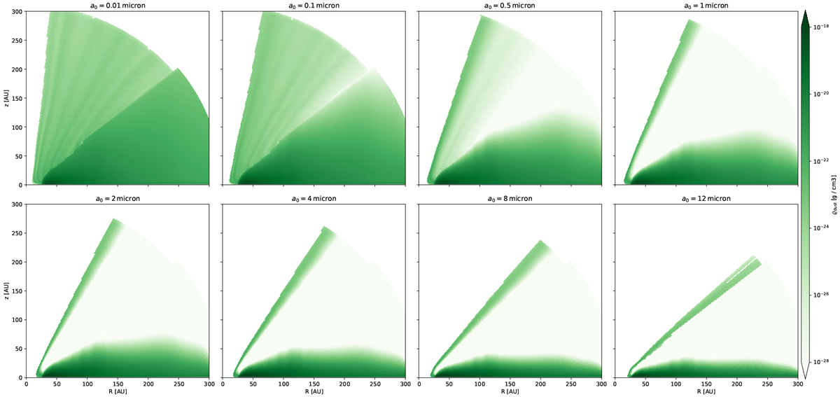
Dust densities for varTD30, all else equal to Fig. 5. As for the ‘fixed’ models, the differences between the varTD20 (Fig. 4) and varTD30 disks in terms of dust content in the wind are minor.

Current usage metrics show cumulative count of Article Views (full-text article views including HTML views, PDF and ePub downloads, according to the available data) and Abstracts Views on Vision4Press platform.

Data correspond to usage on the plateform after 2015. The current usage metrics is available 48-96 hours after online publication and is updated daily on week days.

Initial download of the metrics may take a while.