Fig. 2

Download original image
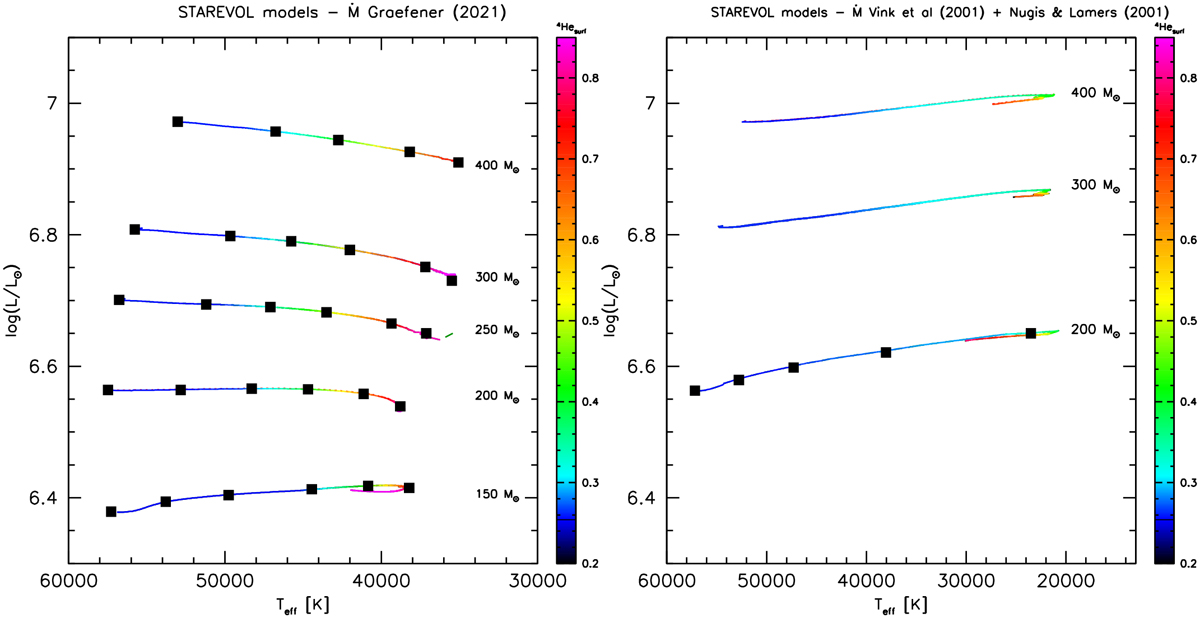
HRD for the STAREVOL models on the main sequence. The most evolved tracks (150 and 200 M⊙) are shown up to a central hydrogen mass fraction equal to 0.015. The evolution of the surface helium mass fraction is colour-coded on the tracks. The left panel shows the tracks obtained using the new mass-loss recipe by Gräfener (2021), and the right panel shows those using the old mass-loss recipe combining Vink et al. (2001) and Nugis & Lamers (2000), as in Martins & Palacios (2017). The evolutionary points at which atmosphere models and synthetic spectra have been computed are indicated with squares..
Current usage metrics show cumulative count of Article Views (full-text article views including HTML views, PDF and ePub downloads, according to the available data) and Abstracts Views on Vision4Press platform.
Data correspond to usage on the plateform after 2015. The current usage metrics is available 48-96 hours after online publication and is updated daily on week days.
Initial download of the metrics may take a while.