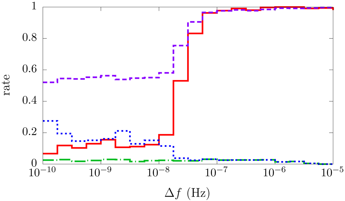
Fig. 6.

Download original image
Neural network efficiency of pulsar glitch detection. The true positive rate (red solid line) is the proportion of correctly identified pulsars with glitches among all pulsars with glitches of the amplitude Δf; the false positive rate (green dash-dotted line) is the proportion of erroneously identified pulsars with glitches among pulsars without glitches in the search for glitches of the amplitude Δf; accuracy (violet dashed line) is the proportion of correct predictions; and false discovery rate (blue dotted line) is the proportion of erroneously identified pulsars with glitches among all glitch identifications.
Current usage metrics show cumulative count of Article Views (full-text article views including HTML views, PDF and ePub downloads, according to the available data) and Abstracts Views on Vision4Press platform.
Data correspond to usage on the plateform after 2015. The current usage metrics is available 48-96 hours after online publication and is updated daily on week days.
Initial download of the metrics may take a while.