Fig. C.12.

Download original image
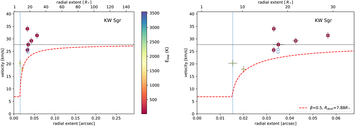
Wind kinematics for KW Sgr. See Fig. 11 caption. Wind velocity profile constructed only on the basis of the medium and high spatial resolution data, since the low spatial resolution data still need to be acquired. Not enough data are available for a reliable determination of the β parameter. Since the 12CO v = 0 J = 2 − 1 remains undetected in the medium-resolution data, the CO extent is deduced from the high-resolution data.
Current usage metrics show cumulative count of Article Views (full-text article views including HTML views, PDF and ePub downloads, according to the available data) and Abstracts Views on Vision4Press platform.
Data correspond to usage on the plateform after 2015. The current usage metrics is available 48-96 hours after online publication and is updated daily on week days.
Initial download of the metrics may take a while.