Free Access

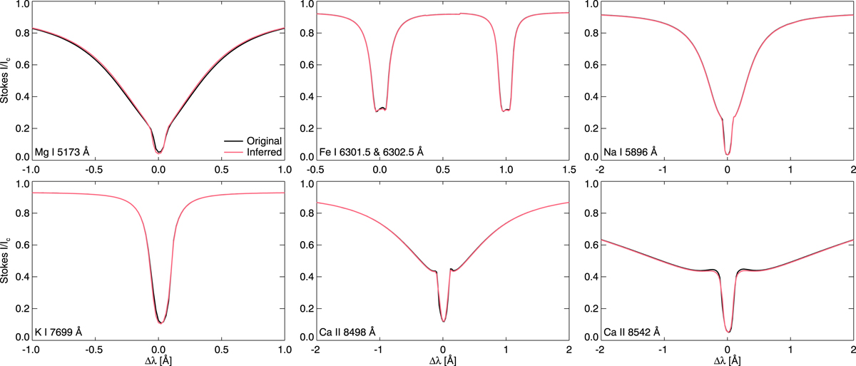
Fig. 9.

image

Download original image

Results from the multi-atom inversion test described in Sect. 4.4. Panels show the intensity, with black the input profile and red the inferred profile from DeSIRe. The pixel is located at X = 4 Mm in Fig. 2 (see dotted line).

Current usage metrics show cumulative count of Article Views (full-text article views including HTML views, PDF and ePub downloads, according to the available data) and Abstracts Views on Vision4Press platform.

Data correspond to usage on the plateform after 2015. The current usage metrics is available 48-96 hours after online publication and is updated daily on week days.

Initial download of the metrics may take a while.