Free Access

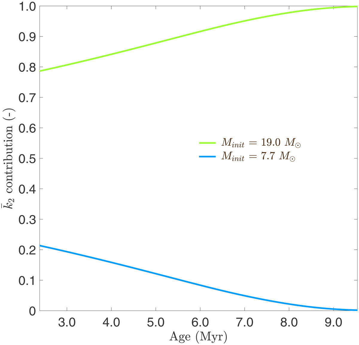
Fig. 14.

image

Download original image

Evolution as a function of stellar age of the contributions and to the weighted-average mean of the internal structure constants k2, 1 and k2, 2 (to which the empirical correction Eq. (22) has been applied) for the models presented in Fig. 13.

Current usage metrics show cumulative count of Article Views (full-text article views including HTML views, PDF and ePub downloads, according to the available data) and Abstracts Views on Vision4Press platform.

Data correspond to usage on the plateform after 2015. The current usage metrics is available 48-96 hours after online publication and is updated daily on week days.

Initial download of the metrics may take a while.