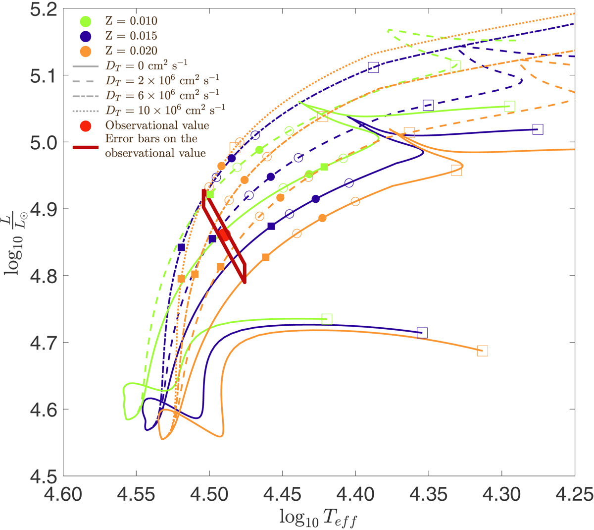
Fig. B.1.

Download original image
Hertzsprung-Russell diagram: evolutionary tracks of Clés models for the primary star having Minit = 19 M⊙, αov = 0.30, ξ = 1, X = 0.715, Z = 0.010 (green), 0.015 (dark blue), and 0.020 (orange), and DT = 0 cm2 s−1 (solid line), 2 × 106 cm2 s−1 (dashed line), 6 × 106 cm2 s−1 (dotted-dashed line), and 10 × 106 cm2 s−1 (dotted line). The dots over-plotted on the corresponding tracks correspond to the models for which k2, 1 is equal to , while the open circles correspond to the models for which k2, 1 is equal to
. The filled and open squares over-plotted on the tracks correspond to the models for which the mass is equal to the observed value within the error bars. The observational value is represented by the red point, and its error bars are represented by the dark red parallelogram.
Current usage metrics show cumulative count of Article Views (full-text article views including HTML views, PDF and ePub downloads, according to the available data) and Abstracts Views on Vision4Press platform.
Data correspond to usage on the plateform after 2015. The current usage metrics is available 48-96 hours after online publication and is updated daily on week days.
Initial download of the metrics may take a while.