Free Access
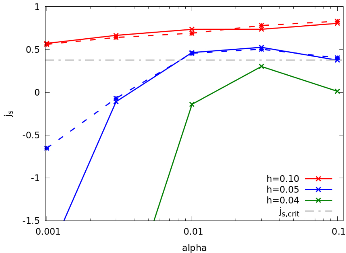
Fig. 13.

Download original image
Specific angular momentum js transferred to the binary as a function of the disc viscosity for a mass ratio q = 1.0 and different aspect ratios. For q = 1, the critical rate is given by js, crit = 3/8. We display the results for the two different codes RH2D (crosses, solid lines) and PLUTO (asterisks, dashed lines).
Current usage metrics show cumulative count of Article Views (full-text article views including HTML views, PDF and ePub downloads, according to the available data) and Abstracts Views on Vision4Press platform.
Data correspond to usage on the plateform after 2015. The current usage metrics is available 48-96 hours after online publication and is updated daily on week days.
Initial download of the metrics may take a while.