Fig. 16.

Download original image
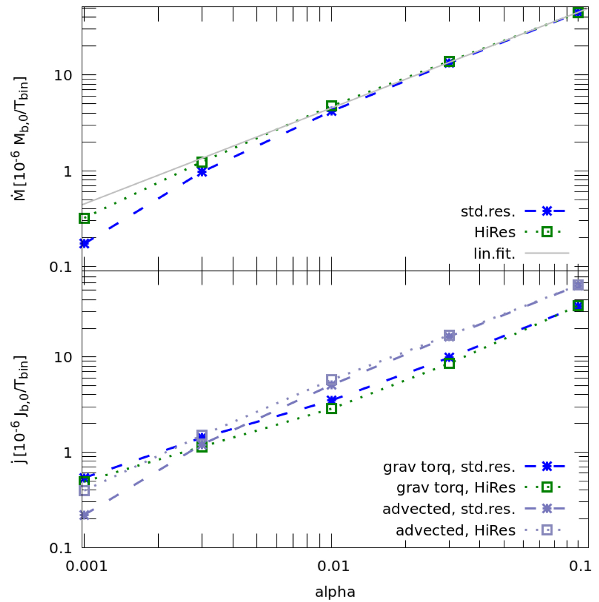
Mass accretion rate onto the binary as a function of viscosity for infinite disc models with q = 0.5 and h = 0.05 (top). The grey line indicates a linear slope. Corresponding absolute value of gravitational (bottom, blue and green lines) and advective (grey lines) angular momentum transfer, and
respectively. We shown the results for the standard (asterisks, dashed lines) and higher resolution (squares, dotted lines).
Current usage metrics show cumulative count of Article Views (full-text article views including HTML views, PDF and ePub downloads, according to the available data) and Abstracts Views on Vision4Press platform.
Data correspond to usage on the plateform after 2015. The current usage metrics is available 48-96 hours after online publication and is updated daily on week days.
Initial download of the metrics may take a while.