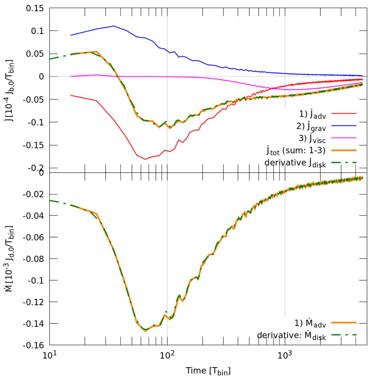
Fig. 5.

Download original image
Loss and gain channels of mass and angular momentum, Ṁ and of the disc. The curves denote (1)
(through rmin), (2)
(torque by binary), and (3)
(through rmax). The dashed curves labelled ‘derivative’ denote the time derivative of the total mass/angular momentum of the disc. The sum of 1−3 (green curve) exactly matches the calculated changes.
Current usage metrics show cumulative count of Article Views (full-text article views including HTML views, PDF and ePub downloads, according to the available data) and Abstracts Views on Vision4Press platform.
Data correspond to usage on the plateform after 2015. The current usage metrics is available 48-96 hours after online publication and is updated daily on week days.
Initial download of the metrics may take a while.