Free Access
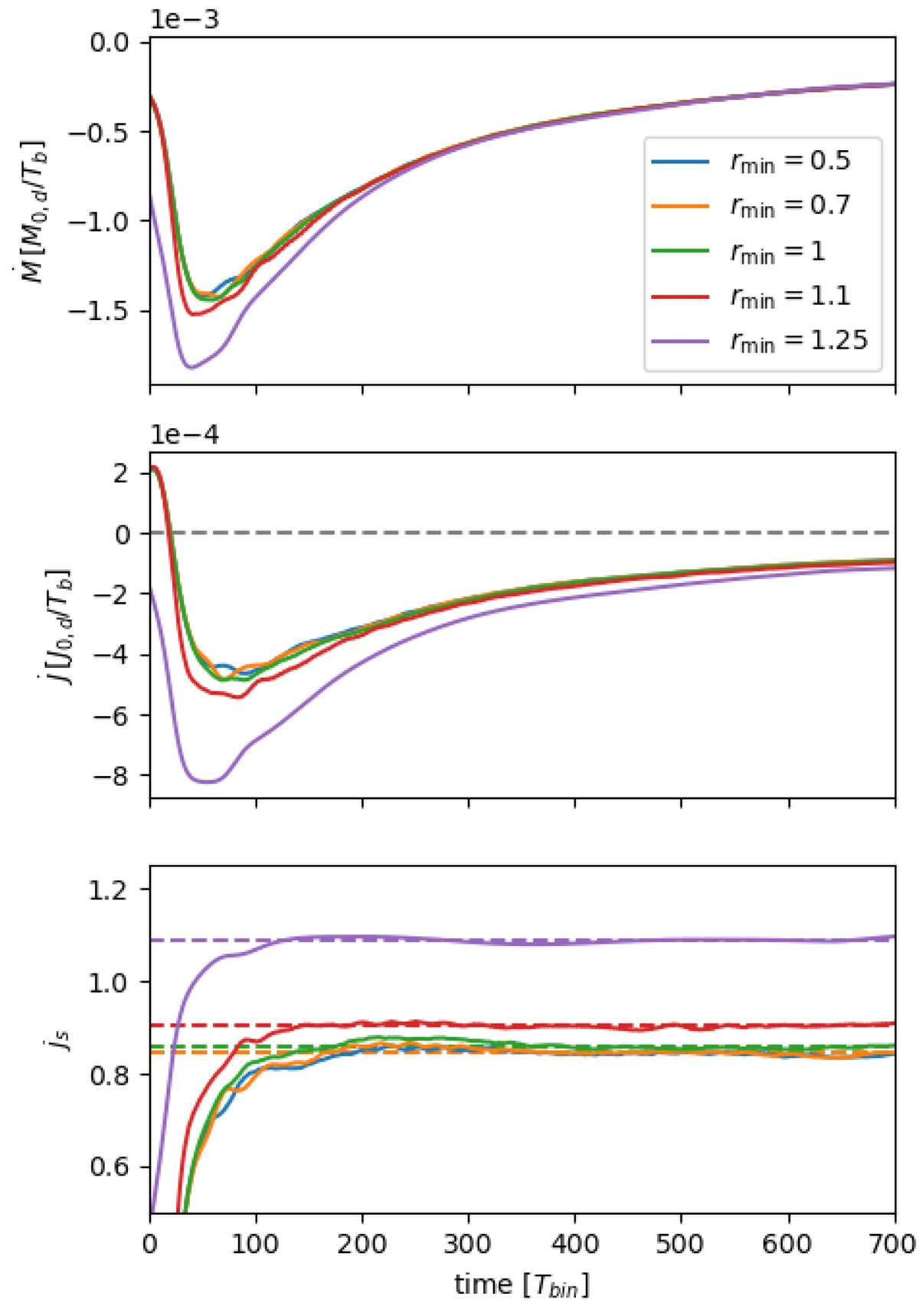
Fig. 8.

Download original image
Evolution of mass and angular momentum gain and loss rates of the disc and of js for different inner disc radii, computed using the PLUTO code. The dashed lines in the bottom panel indicate the obtained average values between 200 − 700 Tbin.
Current usage metrics show cumulative count of Article Views (full-text article views including HTML views, PDF and ePub downloads, according to the available data) and Abstracts Views on Vision4Press platform.
Data correspond to usage on the plateform after 2015. The current usage metrics is available 48-96 hours after online publication and is updated daily on week days.
Initial download of the metrics may take a while.