Fig. 4.

Download original image
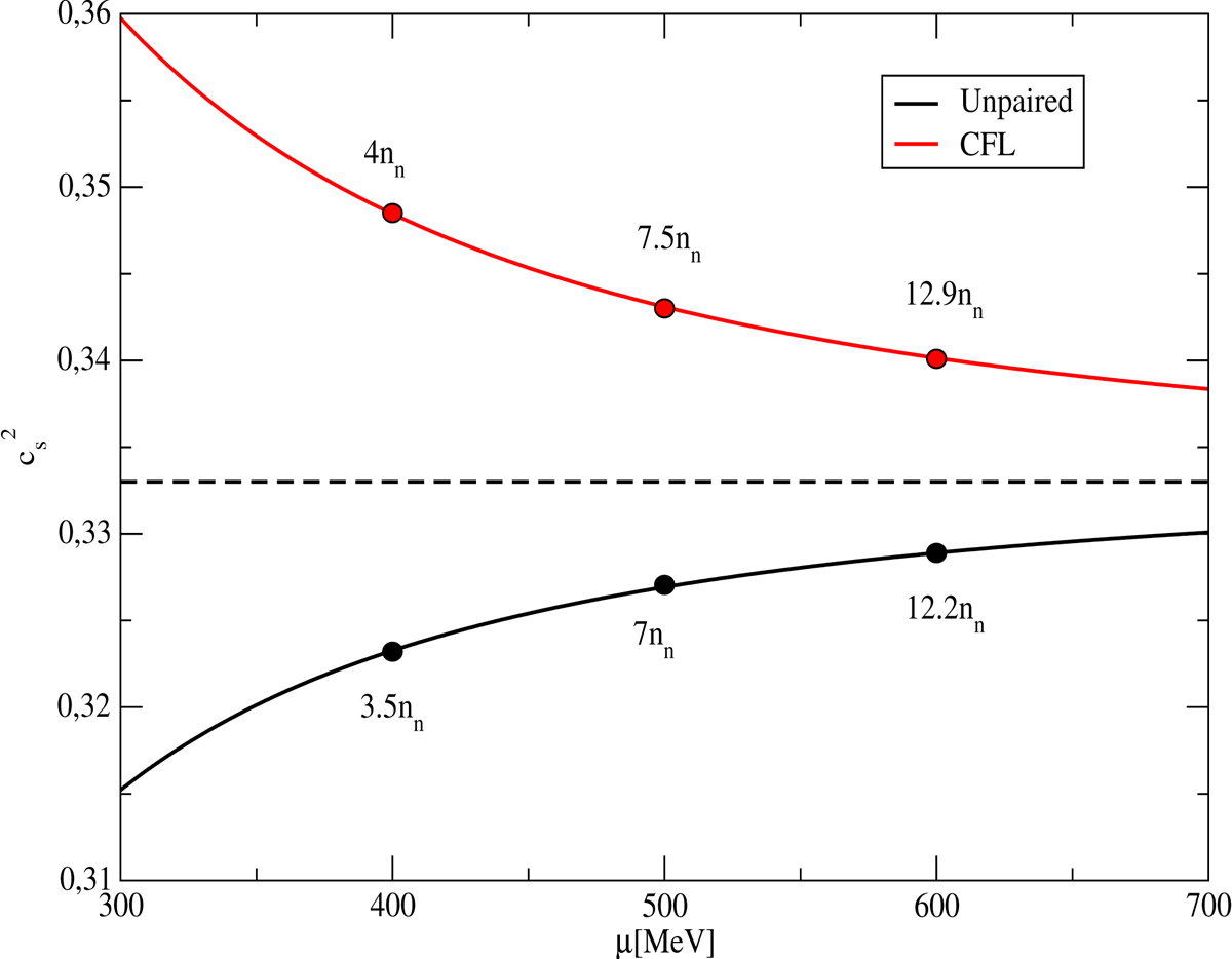
Speed of sound as a function of the quark chemical potential μ for unpaired quark matter and CFL matter. For the latter, we use ms = 100, Δ = 80 MeV, B1/4 = 135 MeV, and the pQCD correction parameter is a4 = 0.7 (for details, see the main text). The dots on the two lines indicate the corresponding baryon densities in units of the nuclear density, nn.
Current usage metrics show cumulative count of Article Views (full-text article views including HTML views, PDF and ePub downloads, according to the available data) and Abstracts Views on Vision4Press platform.
Data correspond to usage on the plateform after 2015. The current usage metrics is available 48-96 hours after online publication and is updated daily on week days.
Initial download of the metrics may take a while.