Open Access
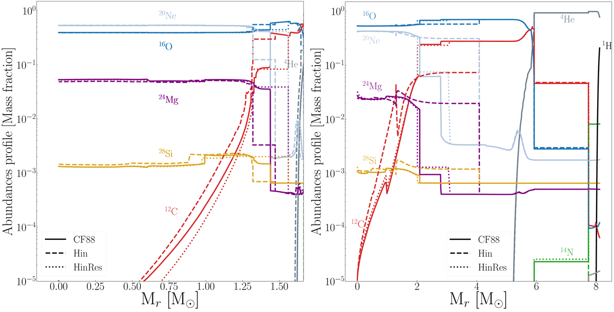
Fig. 5.

Download original image
Core abundances profile at the end of central C-burning for 12 M⊙ models with different 12C + 12C reaction rates (left panel). Abundances profile at the end of C-burning for 25 M⊙ models with different 12C + 12C reaction rates (right panel).
Current usage metrics show cumulative count of Article Views (full-text article views including HTML views, PDF and ePub downloads, according to the available data) and Abstracts Views on Vision4Press platform.
Data correspond to usage on the plateform after 2015. The current usage metrics is available 48-96 hours after online publication and is updated daily on week days.
Initial download of the metrics may take a while.